时间:2019-03-15 17:17:04
1、计算题 如图甲所示,一长为L = 2m的金属“U”型框与两平行金属板AB相连,两板之间用一绝缘光滑水平杆相连,一质量为M=0.1kg,电量大小为q=0.1c可看成质点的带电小球套在杆中并靠近A板静止,从t=0时刻开始,在 “U”型框宽为d = 1m内加入垂直纸面向外且大小随时间变化的磁场(如图乙所示)后,发现带电小球可以向右运动.求:
1.小球带何种电荷
2.小球达到B板时的速度大小
3.通过分析计算后在丙图坐标系中作出小球在AB杆上的V-t图象. 


参考答案:(1)小球带负电荷(2)1m/s(3)
本题解析:(1)小球带负电荷? (3分)
(2)两极板间的电势差U=LdΔB/Δt = 1v?(2分)
E="U/L" (1分)? F="Eq" (1分)? a=F/M(1分)
a=
=
=
m/s2?(1分)
S1=
=1m?(2分)
V1=at=1m/s?(2分)
以后一直匀速运动,即达B板速度为1m/s?(1分)
(3)加速距离S=1m?
匀速运动时间T=(2-1)/1=1s?(1分)
作图如下?(3分)
本题考查电场力做功,由法拉第电磁感应定律可知电压U=1V,由牛顿第二定律求出加速度,由运动学公式求出末速度
本题难度:一般
2、计算题 如图所示,劲度系数为k的轻弹簧,左端连着绝缘介质小球B,右端连在固定板上,放在光滑绝缘的水平面上。整个装置处在场强大小为E、方向水平向右的匀强电场中。现有一质量为m、带电荷量为+q的小球A,从距B球为S处自由释放,并与B球发生碰撞。碰撞中无机械能损失,且A球的电荷量始终不变。已知B球质量为A球质量的3倍,A、B小球均可视为质点。求:
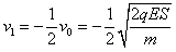
(1)A球与B球碰撞前瞬间的速度v0;
(2)求A球与B球第一次碰撞后瞬间,A球的速度v1和B球的速度v2;
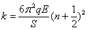
(3)B球被碰后的运动为周期性运动,其运动周期
,要使A球与B球第二次仍在B球的初始位置迎面相碰,求劲度系数k的可能取值。

参考答案:解:(1)设A球与B球碰撞前瞬间的速度为v0
由动能定理得
①
解得:
②
(2)碰撞过程中动量守恒
③
机械能无损失,有
④
联立③④解得
方向向左,
方向向右
(3)要使m与M第二次迎面碰撞仍发生在原位置,则必有A球重新回到O处所用的时间t恰好等于B球的
⑤
?⑥
(n=0 、1 、2 、3 ……) ⑦
由题意得:
⑧
解得:
(n=0 、1 、2 、3 ……)
本题解析:
本题难度:困难
3、选择题 一带负电油滴在电场中从N到M的运动轨迹如图中虚线所示,实线为电场线,不计空气阻力。则可以判断:
A.M点电势小于N点电势
B.M点场强大于N点场强
C.油滴在M点电势能小于N点电势能
D.油滴从N运动到M,重力势能和动能之和减小
参考答案:C
本题解析:据电场线的性质,从N到M电场线变稀疏,则场强变小,而此过程逆电场线方向运动,则电势增加,所以A、B选项错误;负电荷从N到M电场力做正功,电势能减小,故C选项正确;从N到M重力做负功而电场力做正功,只有重力做功机械能守恒,而现在还有电场力做正功,则机械能增加,所以D选项错误。
本题难度:一般
4、计算题 (15分).如图所示,一质量为m = 2g,电量为
的小球,从与水平方向成37°角的两块平行金属板A、B的A板上的小孔P沿水平方向射入,小球在A、B板间做直线运动,两板的间距为d = 4cm。问:
(1) A、B两板的电压UAB是多少?
(2)小球入射的速度v0至少多大才能到达B板?
参考答案:(1)
; (2)?
本题解析:(1)小球在A、B板间做直线运动,则受力如图
?
则有:

(2)设小球恰好到达B点,即到达B点时动能为零。由动能定理有:

点评:中等难度。小球在A、B板间做直线运动,则电场力与重力的合力必与小球的初速度共线,以此为依据,确定电场力的方向;再进一步应用牛顿定律、动能定理等求解.处理这类问题,就像处理力学问题一样,首先对物体进行受力分析(包括电场力把电场力看做一个普通的力),再根据合力确定其运动状态,应用力学规律分析求解,这类问题就显得简单而熟悉.
本题难度:一般
5、选择题 如图所示,静止的电子在加速电压为U1的电场的作用下从O经P板的小孔射出,又垂直进入平行金属板间的电场,在偏转电压U2的作用下偏转一段距离。现使U1加倍,要想使电子的运动轨迹不发生变化,应该
[? ]
A.使U2加倍
B.使U2变为原来的4倍
C.使U2变为原来的
D.使U2变为原来的
参考答案:A
本题解析:
本题难度:一般