时间:2018-10-13 01:58:01
1、选择题 不定项选择
如图甲所示,一弹簧振子在AB间做简谐运动,O为平衡位置,如图乙是振子做简谐运动时的位移-时间图象,则关于振子的加速度随时间的变化规律,下列四个图象中正确的是( ? )





2、选择题 弹簧振子做简谐运动时,从振子经过某一位置A开始计时,则( ? )
A.当振子再次与零时刻的速度相同时,经过的时间一定是半周期
B.当振子再次经过A时,经过的时间一定是半周期
C.当振子的加速度再次与零时刻的加速度相同时,一定又到达位置A
D.一定还有另一个位置跟位置A有相同的位移
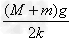
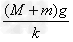
3、选择题 如图所示,物体A和B用轻绳相连,挂在轻弹簧下静止不动,A的质量为m,B的质量为M,弹簧的劲度系数为k.当连接A、B的绳突然断开后,物体A将在竖直方向上做简谐运动,则A振动的振幅为
[? ]
A.
?
B.
?
C.
?
D.
4、填空题 如图所示,一个光滑水平面上做简谐运动的弹簧振子,滑块A的质量为M、弹簧的劲度系数为k。现在振子上面放另一个质量为m的小物体B,它与振子一起做简谐运动,则小物体B受到的回复力f跟位移x的关系式是______________。(位移是指相对于振子平衡位置的位移)
5、选择题 如图所示,弹簧振子在振动过程中,振子从a到b历时0.2s,振子经a、b两点时速度相同,若它从b再回到a的最短时间为0.4s,则该振子的振动频率为( ? )
