时间:2018-10-13 01:43:06
1、计算题 如图所示,匀强磁场的磁感应强度为B,方向垂直于纸面向里,MN为其左边界。磁场中有一半径为R、轴线与磁场平行的金属圆筒,圆筒的圆心O到MN的距离OO1=3R,OO1所在直线与圆筒右侧壁交于A点,圆筒通过导线与电阻r0,连接并接地。现有范围足够大的平行电子束以相同的速度从很远处垂直于MN向右射入磁场区。当金属圆筒最初不带电时,发现电子只能射到圆筒上以A点和C点为界的弧ADC上,而AEC弧上各点均不能接收到电子;当圆筒上电荷量达到相对稳定后,通过电阻r0的电流恒为I。已知电子质量为m,电荷量为e,忽略运动电子间的相互作用,取大地或无穷远处电势为零。求:
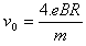
(1)在最初圆筒上没有带电时,电子射入磁场时的初速度v0;
(2)电阻r0中的电流恒定时电阻r0上端处的电势φ;
(3)电阻r0中的电流恒定时电子到达圆筒时速度v的大小和金属圆筒的发热功率P。
参考答案:解:(1)根据题意,电子在磁场中运动的轨道半径必定是r=4R,如图所示 
由
,得
(2)稳定时,圆柱体上电荷不再增加,电阻r0两端电压为U,U=Ir0
电势φ=-Ir0
(3)电子从很远处射到圆柱表面时速度v满足
得
电流为I,单位时间到达圆筒的电子数
电子所具有总能量
消耗在电阻上的功率Pr=I2r0
所以圆筒发热功率
本题解析:
本题难度:困难
2、计算题 如图所示,分布在半径为r的圆形区域内的匀强磁场,磁感应强度为B,方向垂直于纸面向里。已知带电量为q(粒子带负电)、质量为m的粒子从磁场的边缘A点沿圆的半径AO方向射入磁场,穿过磁场区域后,速度方向偏转了60°角。(不计该粒子的重力)
(1)请画出该带电粒子在该圆形区域内的运动轨迹的示意图;
(2)请推导该带电粒子在进入该圆形区域时的入射速度的大小v0的表达式。 
参考答案:解:(1)该带电粒子在该圆形区域内的运动轨迹的示意图如图所示
(2)由
得
由示意图分析知:
解得
本题解析:
本题难度:困难
3、填空题 已知氕(11H)、氘(12H)、氚(13H)三个带电粒子,它们以相同的速度垂直射入同一匀强磁场中,做匀速圆周运动.则半径最大的是______,周期最长的是______.
参考答案:当洛伦兹力提供向心力做匀速圆周运动,则有Bqv=mv2R
得:R=mvBq?由于带电粒子们的B、q、v均相同,所以R与m成正比.
而氕(11H)、氘(12H)、氚(13H)三个带电粒子中质量最大则是氚(13H),所以半径最大的是氚(13H);
由周期公式得:T=2πmBq? 由于带电粒子们的B、q均相同,所以T与m成正比.
而氕(11H)、氘(12H)、氚(13H)三个带电粒子中质量最大则是氚(13H),所以周期最长的是氚(13H);
故答案为:氚(13H);氚(13H)
本题解析:
本题难度:一般
4、选择题 若质子和α粒子以相同的速度垂直射入某一匀强磁场,则质子和α粒子在匀强磁场中运动的?(?)
A.轨道半径之比为1∶1
B.轨道半径之比为1∶2
C.周期之比为1∶1
D.周期之比为2∶1
参考答案:B
本题解析:答案应该为:B
带电粒子以一定速度垂直进入磁场中,受到洛伦兹力作用下做匀速圆周运动.运动轨迹的半径由磁感应强度、电量、质量及速度决定.而运动轨迹的周期与磁感应强度、电量、质量有关,却与速度无关.
解:质子(11P)和α粒子(42He)以相同的速度垂直进入同一匀强磁场中,均做匀速圆周运动.则由轨迹的半径为:R=
得:
半径与这两粒子的质量与电量的比值成正比.即RP:Rα=1:2
而周期公式:T=
?得:
同期也与这两粒子的质量与电量的比值成正比.即TP:Tα=1:2
故选:B
本题难度:简单
5、选择题 如图所示,绝缘界线材料MN将平面分成I和II两个区域,两个区域存在与纸面垂直,磁感应强度相同的匀强磁场.一带电粒子仅在磁场力作用下运动,弧线apb为运动过程中的一段轨迹,其中弧aP与弧Pb的弧长之比为2:1,下列判断正确的是( )
A.Ⅰ、Ⅱ两区域的磁场方向相反
B.粒子运动方向为a点到b点
C.粒子通过ap,pb两段弧的时间之比可能为2:1
D.通过ap,pb两段弧的圆心角大小之比可能为1:1
参考答案:A、根据曲线运动的条件,可知洛伦兹力的方向与运动方向的关系,再由左手定则可知,两个磁场的磁感应强度方向相反,故A正确;
B、根据牛顿第二定律,有:qvB=mv2r,解得:r=mvqB;由于Ⅱ去轨道半径小,速度小,故是从a点运动到b点,故B正确;
C、由于Ⅱ去轨道半径小,速度小;弧aP与弧Pb的弧长之比为2:1,根据t=sv,只有速度相同时通过ap,pb两段弧的时间之比才为2:1,显然矛盾,故C错误;
D、圆心角:θ=sr;
由于弧长之比为2:1,半径之比可能为2:1,故通过ap,pb两段弧的圆心角大小之比可能为1:1,故D正确;
故选:ABD.
本题解析:
本题难度:一般