时间:2018-10-13 00:49:56
1、计算题 【选修3-5选做题】
如图所示,光滑水平面上有A、B两个滑块,两滑块由一轻质弹簧连接,已知滑块A的质量是滑块B质量的
,子弹质量是滑块B质量的
。若滑块A被水平速度为v0的子弹射中,且子弹嵌在物体A的中心,求:
(1)木块A的最大速度是多少?
(2)运动过程中,木块B的最大速度是多少?
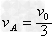
参考答案:解:(1)子弹和A达到共同速度时,A的速度最大。设木块B的质量为4m,则木块A和子弹的质量分别为2m、m,对子弹射入木块A的过程应用动量守恒定律有
mv0=(m+2m)vA
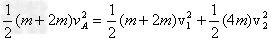
(2)当木块A(包括子弹)通过弹簧与B相互作用时,弹簧被压缩而后又恢复到原长时,B的速度最大。根据动量守恒定律和能量守恒定律,有
(m+2m)vA=(m+2m)v1+4mv
解得
本题解析:
本题难度:一般
2、实验题 在该实验中,两半径相同的小球质量比mA∶mB=3∶8,实验记录纸上各点(O、O′、M、P、N)位置如图所示,其中O点为斜槽末端所系重垂线指的位置.那么,A、B两球中,__________球是入射球.碰撞结束时刻,两球的动量之比pA′∶pB′=____________.
参考答案:B? 3∶4
本题解析:(1)由mA∶mB=3∶8知mB>mA
B球为入射球.
(2)由动量守恒式有:
pB=pB′+pA′
mB
=mB
+mA
代入数据:pB′∶PA′=(mB
)∶(mA
)=4∶3.
本题难度:简单
3、简答题 (1)图1为氢原子能级的示意图,现有大量的氢原子处于n=4的激发态,当向低能级跃迁时辐射出若干不同频率的光.关于这些光下列说法正确的是
A.最容易表现出衍射现象的光是由n=4能级跃到n=1能级产生的
B.频率最小的光是由n=2能级跃迁到n=1能级产生的
C.这些氢原子总共可辐射出3种不同频率的光
D.用n=2能级跃迁到n=1能级辐射出的光照射逸出功为6.34eV的金属铂能发生光电效应.
(2)下列说法正确的是______
A.用不可见光照射金属一定比用可见光照射同种金属产生的光电子的初动能大
B.α粒子散射实验中极少数α粒子发生了较大偏转是卢瑟福猜想原子核式结构模型的主要依据
C.核反应方程:49Be+24He→612C+x中的x为质子
D.614C的半衰期为5730年,若测得一古生物遗骸中的含量只有活体中的
| 1 8 |

参考答案:(1)
A、根据玻耳理论,由n=4能级跃到n=3能级产生的光能量最小,由E=hγ=hcλ可知,波长最长,最容易表现出衍射现象.故A错误.
B、频率最小的光能量最小,根据玻耳理论是由n=4能级跃迁到n=3能级产生的.故B错误.
C、因为有大量的氢原子处于n=4的激发态,当向低能级跃迁时辐射出C24=6种不同频率的光.故C错误.
D、n=2能级跃迁到n=1能级辐射出的光的能量E=-3.4eV-(-13.4)eV=10.2eV,大于金属铂的逸出功6.34eV,则金属铂能发生光电效应.故D正确.
故选D.
(2)A、光电效应现象中金属产生的光电子的最大初动能与入射光的频率有关,而初动能是随机的,而且不可见光的频率不一定大于可见光的频率,则用不可见光照射金属不一定比用可见光照射同种金属产生的光电子的初动能大.故A错误.
B、α粒子散射实验中极少数α粒子发生了较大偏转,说明原子绝大部分是空的,只有当原子的所有正电荷和几乎全部质量集中在一个核上才可能,这个实验结果是卢瑟福猜想原子核式结构模型的主要依据.故B正确.
C、根据电荷数守恒与质量数守恒配平得到:x为中子,10n.故C错误.
D、由题得:若测得一古生物遗骸中的含量只有活体中的18,说明经过了三个半衰期,则此遗骸距今约有3×5730年=17190年.故D错误.
故选B.
(3)设物块到达劈A的低端时,物块和A的速度大小分别为v和V,由机械能守恒和动量守恒得:
mgh=12mv2+12M1V2①
M1V-mv=0②
设物块在劈B上达到的最大高度为h′,此时物块和B的共同速度大小为V′,由机械能守恒和动量守恒得:
mgh′+12(M2+m)V2=12mv2③
mv=(M2+m)V′④
联立①②③④式得h′=M1M2(M1+m)(M2+m)h.
答:(1)、D;(2)、B;
(3)、物块在B上能够到达的最大高度为得M1M2(M1+m)(M2+m)h.
本题解析:
本题难度:简单
4、计算题 如图所示,质量为0.4kg的木块以2m/s的速度水平地滑上静止的平板小车,小车的质量为1.6kg,木块与小车之间的摩擦系数为0.2(g取10m/s2)。设小车足够长,求:
(1)木块和小车相对静止时小车的速度。
(2)从木块滑上小车到它们处于相对静止所经历的时间。
(3)从木块滑上小车到它们处于相对静止木块在小车上滑行的距离。 
参考答案:解:(1)以木块和小车为研究对象,由动量守恒定律可得:mv0=(M+m)v
所以
(2)再以木块为研究对象,由动量定理可得-μmgt=mv-mv0
(3)木块做匀减速运动,加速度
车做匀加速运动,加速度
在此过程中木块的位移
车的位移
由此可知,木块在小车上滑行的距离为ΔS=S1-S2=0.8m,即为所求
本题解析:
本题难度:困难
5、选择题 在光滑水平面上,有两个小球A、B沿同一直线同向运动(B在前),已知碰前两球的动量分别为pA=12kg?m/s、pB=13kg?m/s,碰后它们动量的变化分别为△pA、△pB.下列数值可能正确的是( )
A.△pA=-3kg?m/s、△pB=3kg?m/s
B.△pA=3kg?m/s、△pB=-3kg?m/s
C.△pA=-24kg?m/s、△pB=24kg?m/s
D.△pA=24kg?m/s、△pB=-24kg?m/s
参考答案:B、由题,碰撞后,两球的动量方向都与原来方向相同,A的动量不可能沿原方向增大.故碰后它们动量的变化分别为△pA<0,故B、D错误.
A、根据碰撞过程动量守恒定律,如果△pA=-3kg?m/s、△pB=3kg?m/s,
所以碰后两球的动量分别为p′A=9kg?m/s、p′B=16kg?m/s,
根据碰撞过程总动能不增加,故A正确.
C、根据碰撞过程动量守恒定律,如果△pA=-24kg?m/s、△pB=24kg?m/s,
所以碰后两球的动量分别为p′A=-12kg?m/s、p′B=37kg?m/s,
可以看出,碰撞后A的动能不变,而B的动能增大,违反了能量守恒定律.故C错误.
故选A.
本题解析:
本题难度:一般