高考物理知识点《竖直上抛运动》高频试题巩固(2018年最新版)(十)

时间:2018-10-13 00:22:10

微信搜索关注"91考试网"公众号,领30元,获取事业编教师公务员等考试资料40G

1、选择题  一个从地面上竖直上抛的物体,它两次经过一个较低点A的时间间隔是5 s,两次经过一个较高点B的时间间隔是3 s,则AB之间的距离是(g="10" m/s2)(?)
A.80 m
B.40 m
C.20 m
D.初速未知,无法确定


参考答案:C


本题解析:略


本题难度:简单



2、简答题  原地起跳时,先曲腿下蹲,然后突然蹬地.从开始蹬地到离地是加速过程(视为匀加速),加速过程中重心上升的距离称为“加速距离”.跳蚤原地起跳的“加速距离”d1=0.00075m,离地时速度大小v1=1.5m/s.
(1)求跳蚤起跳过程中的加速度大小是多少?
(2)人原地起跳的“加速距离”d2=0.3m,假想人具有跳蚤相等的起跳加速度,则人跳离地面时的速度大小是多少?
(3)若人以此速度离开地面后,做加速度大小为10m/s2的匀减速运动,则人离地后上升的最大高度是多少?


参考答案:(1)跳蚤起跳过程是匀加速直线运动,根据速度位移关系公式,有:
v12=2ad1
解得:a=v122d1=1.522×0.00075=1500m/s2
(2)人起跳过程是匀加速直线运动,根据速度位移关系公式,有:
v22=2ad2
解得:v2=


本题解析:


本题难度:一般



3、计算题  (16分)节日燃放的烟花弹射到最高点爆炸散开形成多彩绚丽的景色,给节日增添了几分喜庆.在2010年除夕夜的重庆某地,某人在观看竖直发射的烟花时,看到烟花爆炸时的视线与水平方向夹角为530,看见爆炸到听见爆炸声的间隔时间是1.5s,设烟花燃放点与观察者在同一水平面上,不计空气阻力,忽略光在空中传播时间和观察者高度.(己知sin530 = 0.8,cos530 = 0.6,声速vo = 340m/s,g = 10m/s2).求:
(1)烟花燃放点与观察者问的水平距离;
(2)烟花爆炸点距地面高度;
(3)烟花弹射离地时的速度.


参考答 案:(1)510m
(2)408m
(3)90m/s


本题解析:
(1)烟花爆炸位置与观察者闻的直线距离为
?(4分)
由几何关系可知,烟花燃放点与观察者问的水平距离
?(4分)
(2)烟花弹射的竖直高度为?(4分)
(3)烟花弹射离地时的速度为?(4分)


本题难度:一般



4、计算题  如图所示是建筑工地常用的一种“深穴打夯机”。工作时,电动机带动两个紧压夯杆的滚轮匀速转动将夯从深为h的坑中提上来,当两个滚轮彼此分开时,夯杆被释放,最后夯在自身重力作用下,落回深坑,夯实坑底。然后,两个滚轮再次压紧,夯杆再次被提上来,如此周而复始工作。已知两个滚轮边缘线速度v恒为4 m/s,每个滚轮对夯杆的正压力FN为2×104N,滚轮与夯杆间的动摩擦因数为0.3,夯杆质量m为1×103 kg,坑深h为6m。假定在打夯的过程中坑的深度变化不大,且夯杆底端升到坑口时,速度正好为零,取g=10m/s2,求:
(1)每个打夯周期中,电动机对夯杆所做的功;
(2)夯杆上升过程中被滚轮释放时夯杆底端离坑底多高;
(3)打夯周期。


参考答案:解:(1)因为夯杆底端升到坑口时,速度正好为零,所以每个打夯周期中,电动机对夯杆所做的功W=mgh=6×104 J?
(2)根据题意,考虑到夯杆先匀加速上升,后匀速上升,再竖直上抛
当夯杆以v=4 m/s的初速度竖直上抛,上升高度为:0.8 m
此时夯杆底端离坑底△h=h-h3=5.2 m
(3)以夯杆为研究对象f1=2μN=1.2×104 N;2m/s2
当夯杆与滚轮相对静止时:v=a1t1=4m/s,t1=2s,h1=
则当夯杆加速向上运动速度达到v=4 m/s后,夯杆匀速上升,匀速上升高度为:h2=h-h1-h3=1.2m
因此,夯杆上抛运动的时间为:
夯杆匀速上升的时间为:
夯杆自由落体的时间为:
故打夯周期为:T=t1+t2+t3+t4=3.8 s


本题解析:


本题难度:困难



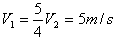
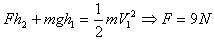
5、计算题  某同学拍一个可视为质点、质量为m=0.1kg的橡皮小球,使它在距地面高h1=0.8m的范围内做竖直方向的往复运动,在球到最高点时用手开始击打球,手与球作用过程中球下降了h2=0.05m,球从落地到反弹离地历时t=0.1s,球反弹离地时的速度大小v2是刚触地时的速度大小v1的,且反弹恰好到最高点。若手对球和地面对球的作用力均可视为恒力,忽略空气阻力,g取10m/s2。试求:
(1)球反弹离地的速度大小v2;
(2)地面对球弹力大小FN;
(3)拍球时手对球作用力大小F。


参考答案:解:(1)球反弹离地后做竖直上抛运动,有


(2)以竖直向上为正方向,球从落地到反弹离地过程中,由动量定理:

?(3)从开始拍球到球刚触地过程,由动能定理:


本题解析:


本题难度:困难




首页 上页 9 10 下页 尾页 10/10/10
微信搜索关注"91考试网"公众号,领30元,获取公务员事业编教师考试资料40G
【省市县地区导航】【考试题库导航】
 ★ 高考省级导航 ★ 
全国 A安徽 B北京 C重庆 F福建 G广东 广西 甘肃 贵州 H河南 河北 湖南 湖北 黑龙江 海南 J江苏 江西 吉林 L辽宁 N内蒙古 宁夏 Q青海 S山东 山西 陕西 四川 上海 T天津 X新疆 西藏 Y云南 Z浙江
 ★ 高考信息汇总 ★ 
 ★ 高考历年真题 ★ 
 ★ 高考历年真题 ★ 
 ★ 高考题库 ★ 
 ★ 高考题库 ★ 

电脑版  |  手机版  |  返回顶部