时间:2018-10-13 00:19:54
1、选择题  不定项选择
下列选项中说法正确的是( ? )
A.封闭在容器中的气体的体积就是容器的容积?
B.气体压强大小取决于单位体积内的分子数和分子平均动能?
C.温度升高,大量气体分子中速率小的分子数减少,速率大的分子数增多
D.一定质量的气体,温度一定时,体积减小,则单位时间内分子对单位面积的容器壁上的碰撞次数增多,压强增大
参考答案:ABCD
本题解析:
本题难度:简单
2、选择题  如图所示,一根竖直的弹簧支持着一倒立气缸的活塞,使气缸悬空而静止.设活塞与缸壁间无摩擦,可以在缸内自由移动,缸壁导热性良好使缸内气体的温度保持与外界大气温度相同,则下列结论中正确的是( ? )
A.若外界大气压增大,则弹簧将压缩一些
B.若外界大气压增大,则气缸的上底面距地面的高度将增大
C.若气温升高,则活塞距地面的高度将减小
D.若气温升高,则气缸的上底面距地面的高度将增大
参考答案:D
本题解析:
本题难度:简单
3、简答题  如图所示,一端开口,一端封闭的粗细均匀的U形玻璃管,用h=8cm长的一段水银柱封闭长l=30cm的空气柱,现将开口端接上抽气机,使开口端的压强缓缓降至p=20cmHg.已知大气压为p0=76cmHg,设温度不变.
(1)试确定水银柱最后停留在哪段管中;
(2)求后来被封闭的气柱长度.
参考答案:
(1)若水银柱全在水平管中,则对气柱有:
(p0-h)lS=pl1S?
将h=8cm,l=30cm,p=20cmHg,p0=76cmHg,代入解得?l1=102cm>67cm,不可能.
若水银柱全在右管中,则对气柱有:
(p0-h)lS=(?p+h)l2S?l2=73.86cm<75cm 
由上述讨论可知,水银柱有一部分在右管中,有一部分在水平管中.
(2)设水银柱在右管中的长度为x,则对气柱有:
(p0-h)lS=(p+x)[75-(h-x)]S?
由(2)式得:x=7.42cm?
所以空气柱长为75-(h-x)=75-(8-7.42)=74.42cm?
答:
(1)水银柱最后水有一部分在右管中,有一部分在水平管中.
(2)后来被封闭的气柱长度为74.42cm.
本题解析:
本题难度:一般
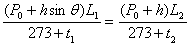
4、计算题  如图所示,长为50cm粗细均匀的细玻璃管的一端开口另一端封闭,在与水平方向成30°角放置时一段长为h=20cm的水银柱封闭着一定质量的理想气体,管内气柱长度为L1=30cm,大气压强P0=76cmHg,室温t1=27℃。现将玻璃管沿逆时针方向缓慢转过60°,使它下端浸入冰水混合物中,足够长的时间后对冰水混合物进行加热。
(1)求管内气柱长度的最小值;
(2)为了保证水银不会从管内溢出,求水温升高的最大值;
(3)如果水温升高到最大值后继续加热,管内气柱长度的变化与水温变化是否满足线性关系?为什么? 
参考答案:解:(1)
解得:L2=24.46cm 
(2)
解得:t3=61.88℃ 
(3)管内气柱长度的变化与水温变化不否满足线性关系,因为不是等压变化
本题解析:
本题难度:一般
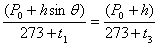
5、选择题  如图所示,绝热气缸封住一定质量的理想气体,竖直倒放于水平地面,活塞质量不可忽略,不计摩擦.现把气缸稍微倾斜一点重新达到平衡,则(  )
A.气体的密度变小
B.气体的密度不变
C.气体的压强增大
D.气体的压强减小
参考答案:C、D、当气缸竖直放置时,对活塞受力分析如图,
所以,P0S=G+PS ①
即外界大气压力等于重力与内部气体产生的压力之和.
当气缸倾斜时活塞受力如图,
此时:Gcosθ+P1S=P0S ②
由①②可知,P1>P,即末状态压强大于初状态,故C正确,D错误.
A、B、整个过程是等温变化,由PV=C可知,压强增大时,体积减小,故密度变大,故A错误,B错误.
故选C.
本题解析:
本题难度:简单