时间:2018-10-13 00:18:19
1、计算题  (12分)如图所示,水平地面上有一质量m=2.3kg的金属块,其与水平地面间的动摩擦因数μ=0.2。在与水平方向成θ=37°角斜向上的拉力F作用下,以v=2m/s的速度向右做匀速直线运动。已知sin37°=0.6,cos37°=0.8,g取10m/s2。求:
(1)拉力F的大小;
(2)若某时刻撤去拉力,金属块在地面上还能滑行多长时间。
参考答案:(1)5N?(2)1s
本题解析:
(1)设在拉力作用下金属块所受地面的支持力为N,滑动摩擦力为f,则根据平衡条件得? Fcos37°=f?(2分)?
Fsin37°+N=mg?(2分)
又f=μN联立解得F=5N?(2分)
(2)撤去拉力F后,金属块受到滑动摩擦力f′=μmg?(2分)
根据牛顿第二定律,得加速度大小为a′= f′/m=μg=2m/s2?(2分)
则撤去F后金属块还能滑行的时间为 t=v/a=1s?(2分)
本题难度:简单
2、选择题  质量为2kg的质点在x-y平面上做曲线运动,在x方向的速度图象和y方向的位移图象如图所示,下列说法正确的是(  )
A.质点的初速度为5m/s
B.质点所受的合外力为3N
C.质点初速度的方向与合外力方向垂直
D.2s末质点速度大小为6m/s
参考答案:A、由x方向的速度图象可知,在x方向的加速度为1.5?m/s2,受力Fx=3?N,由y方向的位移图象可知在y方向做匀速直线运动,速度为vy=4?m/s,受力Fy=0.因此质点的初速度为5?m/s,受到的合外力为3?N,故A、B正确.
C、合外力方向在x轴方向上,所以质点初速度方向与合外力方向不垂直.故C错误.
D、2?s末质点速度应该为v=
本题解析:
本题难度:一般
3、简答题  物体做匀加速直线运动,初速度v0=2m/s,加速度a=0.1m/s2,则第3s末的速度是多少?5s内的位移是多少?
参考答案:第3s末的速度v=v0+at=2m/s+0.1×3m/s=2.3m/s.
5s内的位移x=v0t+12at2=2×5+12×0.1×25m=11.25m.
答:第3s末的速度为2.3m/s,5s内的位移为11.25m.
本题解析:
本题难度:一般
4、填空题  2007年10月24日,中国用长征运载火箭成功地发射了“嫦娥1号”卫星.如图是某监测系统每隔2.5s拍摄的,关于起始匀加速阶段火箭的一组照片.已知火箭的长度为40m,用刻度尺测量照片上的长度关系,结果如图所示.火箭的加速度大小a=______m/s2,火箭在照片中第2个像所对应时刻的瞬时速度大小v=______m/s.
参考答案:根据火箭的长度为40m,按比例确定出火箭第1个像与第2个像间的位移大小x1=80m,火箭第2个像与第3个像间的位移大小x2=130m,由△x=aT2,得a=△xT2=x2-x1T2=130-802.52m/s2=8m/s2.
第2个像所对应时刻的瞬时速度大小等于第1个像与第3个像间的平均速度,则v=x1+x22T=42m/s.
故答案为:8;42
本题解析:
本题难度:一般
5、选择题  如图所示,一质量为m的物体在沿斜面向上的恒力F作用下,由静止从底端向上做匀加速直线运动。若斜来源:91 考试网面足够长,表面光滑,倾角为θ。经时间t,恒力F做功80J,此后撤去恒力F,物体又经时间t回到出发点,且回到出发点时的速度大小为v,若以地面为重力势能的零势能面,则下列说法中正确的是(? )
A.物体回到出发点时的机械能是80J
B.在撤去力F前的瞬时,力F的功率大小是
C.撤去力F前的运动过程中,物体的重力势能一直在增加,撤去力F后的运动过程中物体的重力势能一直在减少
D.撤去力F前的运动过程中,物体的动能一直在增加,撤去力F后的运动过程中物体的动能一直在减少
参考答案:AB
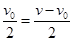
本题解析:物体从出发到回到出发点的过程中,只有力F做功,由动能定理可知末动能为80J,地面重力势能为零,故A对;由题意可知,撤去力F前和撤去力F后物体的平均速度大小相等,假设撤去力F时的速度为v0,则有 ,即v=2v0,上升和下滑的加速度a1、a2满足
,即v=2v0,上升和下滑的加速度a1、a2满足 ,即a2=3a1,由牛顿第二定律可知,
,即a2=3a1,由牛顿第二定律可知, ,
, ,即
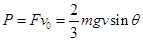
,即 ,撤去力F时,力F的功率大小是
,撤去力F时,力F的功率大小是 ,B对;撤去力F后物体向上减速一段时间后再下滑,C错;物体下滑的过程中动能增加,D错。
,B对;撤去力F后物体向上减速一段时间后再下滑,C错;物体下滑的过程中动能增加,D错。
本题难度:一般