时间:2018-10-11 00:26:33
1、选择题 某静电场的电场线分布如图所示,图中P、Q两点的电场强度的大小分别为EP和EQ,电势分别为UP和UQ,则 
A.EP>EQ,UP<UQ
B.EP>EQ,UP>UQ
C.EP<EQ,UP>UQ
D.EP<EQ,UP<UQ
参考答案:B
本题解析:电场线越密代表场强越强,从图可以看出P点的电场线的密集程度大于Q点的密集程度,故P点的场强大于Q点的场强,所以
,又由于沿电场线方向电势逐渐降低,由图可知电场线的方向由P指向Q,所以P点的电势高于Q点的电势,即
,故B正确.
故选B.
考点:电场线;电场强度;电势.
点评:根据电场线越密代表场强越强,可以判定P点的场强大于Q点的场强;根据沿电场线方向电势逐渐降低可以判定P点的电势高于Q点的电势.
本题难度:一般
2、选择题 如图甲所示,A、B是一条电场线上的两点,若在某点释放一初速为零的电子,电子仅受电场力作用,并沿电场线从A运动到B,其速度随时间变化的规律如图乙所示。则( )
A.电场力FA>FB B.电场强度EA>EB
C.电势φA<φB D.电势能EpA<EpB
参考答案: C
本题解析:根据v-t图象可知,电子由A到B做加速度逐渐增大的加速运动,根据牛顿第二定律可知,FA<FB,且所受电场力方向由A指向B,故选项A错误;又由于F=eE,所以EA<EB,故选项B错误;因为电子带负电,所以电场强度方向由B指向A,根据沿着电场线方向电势逐点降低可知,φA<φB,故选项C正确;根据电势能Ep=qφ及电子带负电可知,EpA>EpB,故选项D错误。
考点:本题主要考查了对电场的两个基本性质和v-t图象的理解以及牛顿第二定律的应用问题,属于中档题。
本题难度:一般
3、选择题 关于电场强度与电势的关系,下面各种说法中正确的是:( )
A.电场强度大的地方,电势一定高
B.电场强度相同之处,电势也一定相同
C.电场强度为零处,电势一定为零
D.电场强度的方向是电势降低最快的方向
参考答案:D
本题解析:电场线密处,电场强度大,而电场线方向不确定,故无法判断电势高低,电势就不一定高,故A错误;在匀强电场中,电场强度不变,沿着电场线的方向,电势总是逐渐降低的,故B错误;电势为零,是人为选择的,电场强度为零的地方,电势不一定为零,故C错误;沿着电场方向电势降低最快,故D正确。
考点:考查了对电场强度与电势的关系的理解
本题难度:一般
4、选择题 关于场强和电势的说法中,正确的是( )
A.在电场中a、b两点间移动电荷的过程中,电场力始终不做功,则电荷所经过的路径上各点的场强一定为零
B.电场强度的方向就是电势降落最快的方向
C.两个等量正电荷的电场中,从两电荷连线的中点沿连线的中垂线向外,电势越来越低,场强越来越小
D.两个等量异种电荷的电场中,对于两电荷连线的中垂线上各点电势均相等,中点场强最大,沿连线的中垂线向外,场强越来越小
参考答案:A、在电场中a、b两点间移动电荷的过程中,电场力始终不做功,知a、b两点间的电势差为0,电场强度不为零,故A错误.
B、根据U=Ed知,电场强度的方向是电势降低最快的方向,故B正确.
C、两个等量同种正电荷的电场中,从两电荷连线的中点沿连线的中垂线向外,电场强度由零增大后减小,方向从中点指向外侧,电势越来越低,故C错误.
D、两个等量异种电荷的电场中,两电荷连线的中垂线有如下特征:中垂线为等势线,连线上各点的电势相等,中间电场线比较密,两边疏,则连线中点场强最大,向外逐渐减小,故D正确.
故选:BD.
本题解析:
本题难度:简单
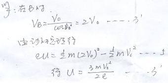
5、计算题 如图所示,电子以速度v0沿与电场垂直的方向从A点飞入匀强电场,并且从另一侧的B点沿与电场成150°角的方向飞出,已知电子的质量为m,电荷量为e,求A、B两点的电势差.
参考答案:
本题解析:略
本题难度:简单