时间:2018-10-11 00:03:01
1、计算题  如图,半径R=0.8m的四分之一圆弧形光滑轨道竖直放置,圆弧最低点D与长为L的水平面相切于D点,质量M=1.0kg的小滑块A从圆弧顶点C由静止释放,到达最低点D点后,与D点m=0.5kg的静止小物块B相碰,碰后A的速度变为vA="2.0" m/s,仍向右运动.已知两物块与水平面间的动摩擦因数均为µ=0.1,A、B均可视为质点,B与E处的竖直挡板相碰时没有机械能损失,取g=10m/s2.求:
(1)滑块A刚到达圆弧的最低点D时对圆弧的压力;
(2)滑块B被碰后瞬间的速度;
(3)要使两滑块能发生第二次碰撞,DE的长度L应满足的条件.
参考答案:(1)F=30 N(2)vB=4 m/s(3)L<5m
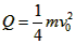
本题解析:(1)设小滑块运动到D点的速度为v,由机械能守恒定律有:MgR= Mv2 (2分)
Mv2 (2分)
在D点,由牛顿第二定律有:F - Mg=M (2分)
  (2分)
联立得: F=30 N  (1分)
由牛顿第三定律,小滑块在D点时对圆弧的压力为30N  (1分)
(2) 设B滑块被碰后的速度为vB,由动量守恒定律:M v=MvA+mvB   (3分)
得: vB=4 m/s  (1分)
(3) 由于B物块的速度较大,如果它们能再次相碰一定发生在B从竖直挡板弹回后,假设两物块能运动到最后停止,达到最大的路程,则
对于A物块,由动能定理: (2分)
  (2分)
解得:SA="2" m  (1分)
对于B物块,由于B与竖直挡板的碰撞无机械能损失,由动能定理: (2分)
     (2分)
解得:SB="8" m(1分)
两滑块刚好第二次发生接触的条件2L=SA+ SB="10" m  (1分)
要使两滑块能发生第二次碰撞L<5m (1分)
考点:考查了动能定理,动量守恒定律,牛顿运动定律
本题难度:困难
2、简答题  如图3所示,长为L的光滑平台固定在地面上,平台中间放有小物体A和B,两者彼此接触。A的上表面是半径为R的半圆形轨道,轨道顶端距台面的高度为h处,有一个小物体C,A、B、C的质量均为m。在系统静止时释放C,已知在运动过程中,A、C始终接触,试求:
⑴ 物体A和B刚分离时,B的速度;
⑵ 物体A和B分离后,C所能达到的距台面的最大高度;
⑶ 试判断A从平台的哪边落地,并估算A从与B分离到落地所经历的时间。
参考答案:⑴VB=
⑵l=h-
⑶
本题解析:⑴ 当C运动到半圆形轨道的最低点时,A、B将开始分开。在此以前的过程中,由A、B、C三个物体组成的系统水平方向的动量守恒和机械能守恒,可得:
mVA+mVB+mVC=0
mgR= mVA2+
mVA2+ mVB2+
mVB2+ mVC2
mVC2
而VA=VB
可解得:VB=
⑵ A、B分开后,A、C两物体水平方向的动量和机械能都守恒。C到最高点时,A、C速度都是V,C能到达的距台面的最大高度为l,则
mVB=2mV
? mg(l+R-h)+ (2m)V2=
(2m)V2= mVA2+
mVA2+ mVC2
mVC2
可解得:l=h-
⑶ 很明显,A、C从平台左边落地。
因为L>>R,所以可将A、C看成一个质点,速度为 VB,落下平台的时间
VB,落下平台的时间
本题难度:一般
3、计算题  (选修3-5选做题)
如图所示,光滑水平面上有带有1/4光滑圆弧轨道的滑块,其质量为2m,一质量为m的小球以速度v0沿水平面滑上轨道,并能从轨道上端飞出,则:
(1)小球从轨道上端飞出时,滑块的速度为多大?
(2)小球从轨道左端离开滑块时,滑块的速度又为多大?
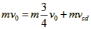
参考答案:解:(1)小球和滑块在水平方向上动量守恒,规定小球运动的初速度方向为正方向,当小球从轨道上端飞出时,小球与滑块具有水平上的相同的速度,根据动量守恒,则有:
mv0=3mv? ①
得:v=v0/3 ②? 
所以此时滑块的速度大小为v0/3 
(2)小球从轨道左端离开滑块时,根据动量守恒,则有:mv0=mv1+2mv2 ③ 
根据机械能守恒,则有: mv02=
mv02= mv12+
mv12+ 2mv22 ④
2mv22 ④
联立③④可得:v2= ⑤
⑤
所以此时滑块的速度大小为
本题解析:
本题难度:一般
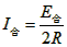
4、计算题  两根足够长的固定的平行金属导轨位于同一水平面内,两导轨间的距离为L,导轨上面横放着两根导体棒ab和cd,构成矩形回路,如图所示,两根导体棒的质量皆为m,电阻皆为R,回路中其余部分的电阻可不计,在整个导轨平面内都有垂直于轨道面竖直向上的匀强磁场,磁感应强度为B,设两导体棒均可沿导轨无摩擦地滑行,开始时,棒cd静止,棒ab有指向棒cd的初速度υ0。若两导体棒在运动中始终不接触,求:
(1)在运动中产生的焦耳热量是多少?
(2)当ab棒的速度变为初速度的时,cd棒的加速度是多少? 
参考答案:解:(1)由动量守恒定律得:
 ∴ ?, 由能量守恒可知:
?, 由能量守恒可知:
 ∴
(2)由动量守恒得:
∴
∴回路中的电动势为:
安培力: ,且
 ,且 ,
 ,
∴
本题解析:
本题难度:困难
5、简答题  (1)2011年3月,日本地震引发海啸,继而福岛核电站(世界最大的核电站)发生核泄漏.关于核电站和核辐射,下列说法中正确的是______.
A.核反应堆发生的是轻核聚变反应
B.核反应堆发生的是重核裂变反应
C.放射性同位素的半衰期长短由核内部本身决定,与外部条件无关
D.放射性同位素的半衰期长短与地震、风力等外部环境有关
(2)如图所示,A、B两木块靠在一起放于光滑的水平面上,A、B的质量分别为mA=2.0kg和mB=1.5kg.一个质量为mC=0.5kg的小铁块C以v0=4m/s的速度滑到木块A上,离开木块A后最终与木块B一起匀速运动.木块A在铁块C滑离后的速度为vA=0.4/m/s.求:
①铁块C在滑离A时的速度;
②最终木块B的速度.
参考答案:
(1)核电站是利用重核的裂变来发电的,重核的裂变形成的链式反应是可在人工控制下进行的.而轻核的聚变现在是无法人工控制的,核反应堆发生的是重核裂变反应,所以选项B正确、A错误.
放射性元素衰变的快慢是由核内部自身的因素决定的,跟原子所处的化学状态和外部条件没有关系.所以选项C正确、D错误.
故答案为:BC
(2)①铁块C在滑离A的瞬间,由动量守恒得,mcvo=(mA+mB)vA+mcvc?
代入数据解得vc=1.2m/s
②铁块C和木块B相互作用最终和B达到相同的速度
铁块C和木块A、B作用过程中动量守恒,
mcvo=mAvA+(mC+mB)vB?
代入数据解得vB=0.6m/s
答:铁块C在滑离A时的速度为1.2m/s,最终木块B的速度为0.6m/s
本题解析:
本题难度:一般