时间:2018-10-10 23:55:20
1、选择题 图(a)为示波管的原理图。如果在电极YY"之间所加的电压图按图(b)所示的规律变化,在电极XX"之间所加的电压按图(c)所示的规律变化,则在荧光屏上会看到的图形是( ? )

A.
B.
C.
D.
参考答案:B
本题解析:
本题难度:一般
2、选择题 示波器是一种电子仪器,用它来观察电信号随时间变化的情况。示波器的核心部件是示波管,由电子枪、偏转电极和荧光屏组成,其原理图如图甲所示,图乙是从右向左看到的荧光屏的平面图。在偏转电极XX′、YY′上都不加电压时,电子束将打在荧光屏的中心点,下列是有关运用偏转电场实现对电子束的控制的方法,以上说法中正确的是?
A.让亮斑沿OY向上移动,在偏转电极YY′加电压,且Y′比Y电势高
B.让亮斑移到荧光屏的左上方,在偏转电极XX′、YY′加电压,且X比X′电势高、Y比Y′电势高
C.让荧光屏上出现一条水平亮线,只在偏转电极XX′上加特定的周期性变化的电压(扫描电压)
D.让荧光屏上出现正弦曲线,在偏转电极XX′上加适当频率的扫描电压、在偏转电极YY′上加按正弦规律变化的电压
参考答案:CD
本题解析:让亮斑沿OY向上移动,则电子受到的向上的电场力,故电场方向向下,所以Y电压高于Y′电压,A错误,
让亮斑移到荧光屏的左上方,在竖直方向上受到向上的电场力,在水平方向上受到向左的电场力,故在偏转电极XX′、YY′加电压,且X比X′电势低、Y比Y′电势高,B错误,
让荧光屏上出现一条水平亮线,即在竖直方向上不受到电场力,故只需只在偏转电极XX′上加电压,要使呈现一条直线,即亮点的位置沿水平方向变化,所以所加电压为周期性变化的电压,C正确,
让荧光屏上出现正弦曲线,在偏转电极XX′上加适当频率的扫描电压、在偏转电极YY′上加按正弦规律变化的电压,D正确,
点评:关键是理解电子在竖直方向,水平方向的偏转方向,并且电子受到的电场力和电场方向相反
本题难度:一般
3、实验题 在示波器的使用中
⑴在没有输入电压的情况下,若将光屏上的亮斑由A图变为B图应调节 ,在X增益一定且不为零的情况下,要使B图中的亮斑变成水平亮线应 。
⑵在“Y输入”和“地”间加直流电压,观察亮斑的移动,若X增益不为零,扫描范围旋扭应置于 。
参考答案:⑴竖直位移旋扭 扫描范围旋扭或扫描微调旋钮;⑵外X挡
本题解析:略
本题难度:一般
4、选择题 示波管的内部结构如图甲所示。如果在偏转电极XX/、YY/之间都没有加电压,电子束将打在荧光屏中心.如果在偏转电极XX/之间和YY/之间加上图丙所示的几种电压,荧光屏上可能会出现图乙中(a)、(b)所示的两种波形。则

A.若XX/和YY/分别加电压(3)和(1),荧光屏上可以出现图乙中(a)所示波形
B.若XX/和YY/分别加电压(4)和(1),荧光屏上可以出现图乙中(a)所示波形
C.若XX/和YY/分别加电压(3)和(2),荧光屏上可以出现图乙中(b)所示波形
D.若XX/和YY/分别加电压(4)和(2),荧光屏上可以出现图乙中(b)所示波形
参考答案:AC
本题解析:要在荧光屏上得到待测信号在一个周期内的稳定图象.XX′偏转电极要接入锯齿形电压,即扫描电压.B和D在XX′偏转电极所加的电压(4)不可能要水平向完成偏转,而AC在XX′偏转电极接入的是(3)锯齿形电压可实现显示的为YY′偏转电压上加的是待显示的信号电压.故AC正确,BD错误.
本题难度:一般
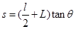
5、计算题 在示波管中,电子通过电子枪加速,进入偏转电极,然后射到荧光屏上.如图所示,设电子的质量为m(不考虑所受重力),电量为e,从静止开始,经过加速电场加速,加速电场电压为U1,然后进入偏转电场,
偏转电极中两板之间的距离为d,板长为L,偏转电压为U2,求电子射到荧光屏上的动能为多大?
参考答案:解:电子在加速
电场加速时,根据动能定理eU1=
mvx2
进入偏转电场
后L=vxt,vy=at,a=
射出偏转电场时合速度v=
以后匀速到达荧光屏
故Ek=
本题解析:
本题难度:一般