时间:2018-10-02 04:52:34
1、简答题 人造地球卫星绕地球旋转时,既具有动能又具有引力势能(引力势能实际上是卫星与地球共有的,简略地说此势能是人造卫星所具有的).设地球的质量为M,以卫星离地无限远处时的引力势能为零,则质量为m的人造卫星在距离地心为r处时的引力势能为Ep=-
| GMm r  | 
| 2 | 
参考答案:(1)设卫星在半径为r的轨道上做匀速圆周运动的速度为v,地球的质量为M,卫星的质量为m.有万有引力提供卫星做圆周运动的向心力:GMmr2=mv2r
所以,人造卫星的动能:Ek=12mv2=12GMmR
卫星在轨道上具有的引力势能为:Ep=-GMmr
所以卫星具有的引力势能为:E=Ek+Ep=12GMmr-GMmr=-12GMmr
所以:|E|=|-12GMmr|=12GMmr
(2)设物体在地于表面的速度为v2,当它脱离地球引力时r→∞,此时速度为零,由机械能守恒定律得:12mv22-GMmR=0
解得:v2=
本题解析:
本题难度:一般
2、选择题  如图所示,a、b、c是地球大气层外圆形轨道上运行的三颗人造地球卫星,a、b质量相同,且小于c的质量,则
[? ]
A.b所需向心力最大
B.b、c周期相等,且大于a的周期
C.b、c向心加速度相等,且大于a的向心加速度
D.b、c的线速度大小相等,且小于a的线速度
参考答案:BD
本题解析:
本题难度:一般
3、选择题  据每日邮报2014年4月18日报道,美国国家航空航天局(NASA)目前宣布首次在太阳系外发现“类地”行星Kepler-186f。假如宇航员乘坐宇宙飞船到达该行星,进行科学观测:该行星自转周期为T;宇航员在该行星“北极”距该行星地面附近h处自由释放—个小球(引力视为恒力),落地时间为t。已知该行星半径为R,万有引力常量为G,则下列说法正确的是
A.该行星的第一宇宙速度为
B.宇宙飞船绕该星球做圆周运动的周期不小于
C.该行星的平均密度为
D.如果该行星存在一颗同步卫星,其距行星表面高度为
参考答案:B
本题解析: 行星上重力加速度
,第一宇宙速度为
,A错;宇宙飞船绕该星球做圆周运动的最小周期
,B正确;地面附近重力近似等于万有引力,
,
,该行星的平均密度为
,C错;同步卫星到表面高度为h,
,
,D错。
考点:本题考查万有引力的综合应用
本题难度:一般
4、简答题  “神六升空,双雄巡天”,真正实现了中国人参与外层空间科学实验的梦想.已知地球半径为R,地球表面的重力加速度为g.
(1)飞船入轨后沿椭圆轨道运动,其远地点离地面高度为地球半径的
| 1 n  | 
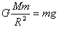
参考答案:(1)设飞船在远地点处的重力加速度为g′,则:GMmR2=mg
万有引力提供飞船的加速度:GMm(R+1nR)2=mg′
解得:g′=(nn+1)2g
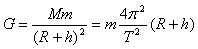
(2)万有引力提供向心力:得GMm(R+h)2=m4π2T2(R+h)
解得:h=3gR2T24π2
本题解析:
本题难度:一般
5、计算题  北京时间2010年1月17日凌晨0时12分,我国在西昌卫星发射中心用“长征三号丙”运载火箭,成功地将第三颗北斗导航卫星送入预定轨道。该卫星属地球同步轨道卫星,是我国北斗卫星导航系统中的第三颗组网卫星。已知地球半径为R,地球自转周期为T,地球表面重力加速度为g(视为常量)。试求: 
(1)该卫星运行轨道离地面的高度h; 
(2)该卫星在运行轨道上的线速度大小v。 
参考答案:解:(1)由万有引力定律和牛顿运动定律得:
 ① 
在地面附近:
 ② 
由①②可得
 ③
 (2)
?④ 
由③④可得
 ⑤
本题解析:
本题难度:一般