时间:2018-10-02 04:50:19
1、选择题 位于坐标原点的波源产生一列沿x轴正方向传播的简谐横波,在t=0时波源开始振动,经0.1s刚好传播到x=40m处第一次形成如图所示的波形.在x=400m处有一波的接收器(图中未画出),则下列说法正确的是( )
A.波源开始振动时的运动方向沿y轴正方向
B.x=40m处的质点在t=0.5s时位移最大
C.在t=1.0s时开始,接收器能接收到此波
D.若波源沿x轴正方向匀速运动,则接收器接收到的波的频率比波源振动频率小
参考答案:A、由质点带动法,知波源开始振动时方向沿y轴负方向,故A错误;
B、图中形成了两个波长的波形,则有2T=0.1s,得T=0.05s,x=40m处的质点在t=0.5s又回到平衡位置,B错误;
C、由图知,波长为λ=20m,波速为v=λT=200.05m/s=400m/s,波从波源O传到接收器的时间为t=SV=400400=1.0s,故C正确;
D、若波源沿x轴正方向匀速运动,接收器与波源间的距离减小,产生多普勒效应,则接收器接收到的波的频率比波源振动频率大.故D错误;
故选C
本题解析:
本题难度:简单
2、选择题 一列简谐横波,波速为0.5m/s,某一时刻的波形图线如图中的实线所示,经过时间t后,波形图线如图中的虚线所示,那么时间t的可能值为( )
A.1s
B.3s
C.5s
D.8s
参考答案:由图读出波长为λ=2m,由波速公式v=λT得到,周期T=λv=20.5s=4s
若波向右传播时,时间t的通项为t=(n+14)T=(4n+1)s,n=0,1,2,…
若波向左传播时,时间t的通项为t=(k+34)T=(4n+3)s,k=0,1,2,…
则当n=0时,t=1s;当k=0时,t=3s;当n=14时,t=5s;
由于n为整数,t不可能等于8s.
故选ABC
本题解析:
本题难度:简单
3、填空题 在水平线上有17个质点,每相邻两质点间的水平距离均为4cm,如图所示.有一简谐波在水平方向传播,已知第5个质点完成一次全振动经过的路程是?8cm,时间为2S.当它从平衡位置开始向上振动经过12cm路程时,第17个质点即将振动,则该波的传播速度是______m/s,在图中画出第17个质点即将振动时的波形图.
参考答案:(1)由题知,波从第5个质点传播到第17个质点所用的时间为t=1.5T=3s
第5、17质点间的距离x=(17-5)×4×10-2 m=0.48m
波速v=xt=0.16m/s ?
(2)如图14所示,
故答案为:0.16;如上图.
本题解析:
本题难度:一般
4、计算题 一列简谐横波,在t=0时刻的波形如图所示,质点振动的振幅为10cm。P、Q两点的坐标分别为-1m和-9m,波传播方向由右向左,已知t=0.7s时, P点第二次出现波峰。试计算:
①这列波的传传播速度多大?
②从t=0时刻起,经多长时间Q点第一次出现波峰?
③当Q点第一次出现波峰时,P点通过的路程为多少?
参考答案:① v=10m/s?② t=1.1s?③ L=0.9m
本题解析:①由图示:这列波的波长
?(1分)?
又:
?得
?(1分)
由波速公式:
?(2分)
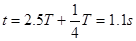
②第一个波峰到Q点的距离为x=11m?由公式
或:振动传到Q点需2.5个周期,因质点起振方向向上,第一次到达波峰再需1/4周期,故
?(2分)
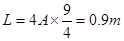
③ 振动传到P点需1/2个周期,所以当Q点第一次出现波峰时,P点已振动了
?则P点通过的路程为
?(3分)
点评:本题考查由两个时刻的波形列出通项的能力.考查运用数学知识解决物理问题能力是高考考查的五大能力之一.
本题难度:一般
5、选择题 如图所示为一列沿x轴正向传播的横波在某一时刻的图象,关于图象中a、b两质点的下列说法正确的是( )
A.此时刻b点速度方向向上,a点速度为零
B.若某时刻a点到达波谷处,则b点一定到达波峰处
C.若某时刻a、b两质点相对平衡位置的位移相同,则a、b的加速度一定相同
D.若某时刻a、b两质点相对平衡位置的位移相同,则a、b的加速度不一定相同
参考答案:AC
本题解析:
本题难度:一般