时间:2018-10-02 04:20:30
1、选择题 已知地球的同步卫星的轨道半径为地球半径的6.6倍,根据你知道的常识,可以估计出地球到月球的距离.这个距离最接近以下哪个答案( )
A.地球半径的40倍
B.地球半径的60倍
C.地球半径的80倍
D.地球半径的100倍
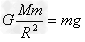
参考答案:根据卫星的向心力由万有引力提供GMmr2=m4π2T2r可知:
对同步卫星有:GMm(6.6R)2=m4π2T12(6.6R)…①
对月球有:GMm(nR)2=m4π2T22(nR)…②
而T1T2=127…③
由①②③得:n≈60
所以选项ACD错误,B正确.
故选B
本题解析:
本题难度:简单
2、选择题 2007年11月7日“嫦娥一号”卫星进入高度为200km的最终圆形绕月观测轨道,2010年10月6日“嫦娥二号”卫星又顺利进入高度为100km的圆形绕月观测轨道,这标志着我国在探月工程方面又取得了新的进展.卫星的圆形绕月观测轨道的高度是从其上所安装的高度传感器(高度仪)显示民间上读出的.其原理为:卫星在其圆形轨道上,其上的发动机关闭、靠月球的引力提供向心力,卫星距月面的高度h和月球质量M、月球半径R、引力常量G、卫星速度v存在对应关系,因为M、R、G是已知的,把M、R、G的数值输入连接传感器的计算机中,这样卫星上的速度表的示数与高度就一一对应,把速度读数刻度成高度,就可以直接读出高度.下列关于M、R、G、v和h的对应关系正确的是( )
A.h=
| GM v2 |
| GM v2 |
| GM v |
| GM v2 |
参考答案:根据万有引力提供向心力有:GMm(R+h)2=mv2R+h得,h=GMv2-R.故A正确,B、C、D错误.
故选A.
本题解析:
本题难度:一般
3、计算题 2000年1月26日我国发射了一颗同步卫星,其定点位置与东经98°的经线在同一平面内.如图所示,现把甘肃省嘉峪关处 的经度和纬度近似取为东经98°和北纬40°,已知地球半径R、地球自转周期T、地球表面重力加速度g(视为常量)和光速c.试求该同步卫星发出的微波信号传到嘉峪关处的接收站所需的时间.(要求用题给的已知量表示)
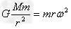
参考答案:解:设m为卫星质量,M为地球质量,r为卫星到地球中心的距离,
ω为卫星绕地球转动的角速度,
由万有引力
式中G为万有引力常量,
因同步卫星绕地球转动的角速度ω与地球自转的角速度相等,
有
因
得GM=gR2
设嘉峪关到同步卫星的距离为L,
如图所示,由余弦定理得
所求时间为
由以上各式得
本题解析:
本题难度:一般
4、选择题 我国已于2011年9月末发射“天宫一号”目标飞行器,之后又发射“神舟八号”飞船并与“天宫一号”实现对接。某同学为此画出“天宫一号”和“神舟八号”绕地球做匀速圆周运动的假想图如图所示,A代表“天宫一号”,B代表“神舟八号”,虚线为各自的轨道。由此假想图,可以判定 
[? ]
A.“天宫一号”的运行速率小于“神舟八号”的运行速率
B.“天宫一号”的周期小于“神舟八号”的周期
C.“天宫一号”的向心加速度小于“神舟八号”的向心加速度
D.“神舟八号”适度减速有可能与“天宫一号”实现对接
参考答案:AC
本题解析:
本题难度:简单
5、简答题 2010年10月1日,我国成功发射了“嫦娥二号”探月卫星.“嫦娥二号”在距月球表面100km高度的轨道上做圆周运动,这比“嫦娥一号”距月球表面200km的圆形轨道更有利于对月球表面做出精细测绘.已知月球的质量约为地球质量的
| 1 81 |
| 1 4 |

参考答案:(1)质量为m的物体,在地球表面附近?GM地mR2地=mg地①
在月球表面附近?GM月mR2月=mg月?②
由①②得:g月=M月M地?R2地R2月g地=1.9?m/s2
(2)设探月卫星圆轨道半径为r,则GM月mr2?=mv2r
则v=
本题解析:
本题难度:一般