时间:2018-10-01 01:41:46
1、简答题 某同学利用右图所示装置测定当地重力加速度.现有的器材为:带铁夹的铁架台、电火花打点计时器、带铁夹的重锤.回答下列问题:
(1)为完成此实验,除了所给的器材,还需要的器材有______.(填入正确选项前的字母)
A.米尺B.秒表?C.4~6V的直流电源D.220V的交流电源
(2)如图是实验时所打出的一条纸带.A、B、C、D、E为打点计时器打出的点.打点计时器打下C点时重锤的瞬时速度为______m/s,该同学测得的当地重力加速度大小为______?m/s2.(结果保留三位有效数字)

参考答案:(1)该实验中需要测量计数点之间的距离,因此需要米尺,打点计时器记录了物体运动的时间,因此不需要秒表,由于实验使用的是电火花打点计时器,因此需要220V的交流电源,故BC错误,AD正确.
故选AD.
(2)根据匀变速直线运动中时间中点的速度等于该过程中的平均速度,有:
vC=xBD2T=(84.00-24.00)mm2×0.02s=1.50m/s
根据匀变速直线运动的推论公式△x=aT2将T=0.02s,△x=4mm带入解得a=10.0m/s2.
故答案为:1.50;10.0.
本题解析:
本题难度:一般
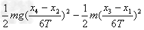
2、实验题 在验证“机械能守恒定律”的实验中,由于在运动的初始阶段计时器打出一些点迹模糊不清,故必须选择比较清楚的点作为测量起点,现所选的测量范围的第一点在米尺上的位置为x1,第四点在米尺上的位置为x2,第七点在米尺上的位置为x3,第十点在米尺上的位置为x4,如图。若下落物体的质量为m,打点计时器每隔T秒打一点,则可利用上述数据求出物体从第四点到第七点这一段过程中势能的减少量是__________,动能的增加量是__________,若打点计时器使用的交流电频率为50Hz,读得x1=2.8cm,x2=8.1cm,x3=16.8cm,x4=29.1cm,则势能的减少量为__________,动能的增加量为__________。(g=9.9m/s2,结果保留两位有效数字)
参考答案:
;
;
;
本题解析:
本题难度:一般
3、填空题 (1)气垫导轨是常用的一种实验仪器,它是利用气泵使带孔的导轨与滑块之间形成气垫,使滑块悬浮在导轨上,滑块在导轨上的运动可视为没有摩擦.我们可以用带竖直挡板C和D的气垫导轨和滑块A和B验证动量守恒
定律,实验装置如图所示,采取的实验步骤如下:
a.用天平分别测出滑块A、B的质量mA、mB;
b.调整气垫导轨,使导轨处于水平:
c.在A和B间放入一个被压缩的轻质且极短的弹簧,用电动卡销锁定,静止放置在气垫导轨上;
d.用刻度尺测出A的左端至C板的距离L1;
e.按下电钮放开卡销,同时用计时器记录滑块A、B从开始到分别碰撞C、D挡板时所用时间t1、t2;
①实验中还应测量的物理量是______.
②利用上述测量的实验数据,验证动量守恒定律的表达式是______.
(2)在“验证机械能守恒定律”的实验中,利用重锤拖着纸带自由下落通过打点计时器并打出一系列的点,对纸带上的点迹进行测量,即可验证机械能守恒定律.
①在实验过程中,下列的说法正确的是:______.
A.必须使用的测量仪器有:打点计时器、夭平和刻度尺
B.纸带与打点计时器的两个限位孔要在同一竖直线上
C.实验中若其他条件不变且空气阻力恒定时,选用重锤质量的大小不影响实验的误差
D.选用纸带上任意可计算速度的两点都可以用来验证机械能守恒定律
②安装好实验装置,正确进行实验操作,从打出的纸带中选出符合要求的纸带,如图所示.图中O点为为打点起始点,且速度为零.
选取纸带上打出的连续点A、B、C,…,测出其中E、F、G点距打点起始点O的距离分别为h1、h2、h3,已知重锤质量为m,当地重力加速度为g,打点计时器打点周期为T.为验证此实验过程中机械能是否守恒,需要计算出从打下O点到打下F点的过程中,重锤重力势能的减少量△EP=______,动能的增加量△EK______(用题中所给字母表示).
③以各点到起始点的距离h为横坐标,以各点速度的平方v2为纵坐标建立直角坐标系,用实验测得的数据绘出v2-h图线,如图所示.从v2-h图线求得重锤下落的加速度g"=______m/s2.(保留3位有效数字)
参考答案:(1)因系统水平方向动量守恒即mAvA-mBVB=0,由于系统不受摩擦,故滑块在水平方向做匀速直线运动故有vA=L1t1,VB=L2t2
所以还要测量的物理量是:B的右端至D板的距离L2.
(2)若要验证动量守恒定律则:mAvA-mBVB=0,带入得:mAL1t1-mBL2t2=0
故答案为:B的右端至D板的距离L2;mAL1t1-mBL2t2=0
(2)①A、因为我们是比较mgh、12mv2的大小关系,故m可约去比较,不需要用天平,故A错误;
B、纸带与打点计时器的两个限位孔在同一竖直线上可以减小摩擦,减小实验误差,故B正确;
C、实验供选择的重物应该相对质量较大、体积较小的物体,这样能减少摩擦阻力的影响,故C错误;
D、选用纸带上任意可计算速度的两点,计算出动能的变化量及重力势能的变化量,都可以用来验证机械能守恒定律,故D正确.
故选BD
②重锤重力势能的减少量△EP=mgh=mgh2
动能的增加量△EK=12mvF2=m(h3-h1)28T2
③根据mgh=12mv2得:
v2=2gh
所以v2-h图线的斜率为2g,
即2g=5.8-00.3-0=583
解得:g=9.67
故答案为:(1)①B到D距离L2;②mAL1t1=mBL2t2;(2)①BD;②mgh2,m(h3-h1)28T2
③9.67
本题解析:
本题难度:一般
4、简答题 某实验小组用图甲装置测自由落体的加速度.其操作步骤如下:
A.按照图示的装置安装器件;
B.将打点计时器接到电源的“直流输出”上;
C.闭合开关接通电源,同时释放悬挂纸带的夹子打出一条纸带;
D.重复步骤?C几次,从打出的纸带中选取较理想的一条,测出纸带上连续一些点的距离如图乙所示.
E.根据测量的数据算出重力加速度.
以上步骤中有错误,指出其错误步骤(填代号)并改正之:______,图乙中记录错误的数据是______.用这种方法测出的重力加速度总比实际的重力加速度小,其原因是______.
参考答案:打点计时器的工作电源是交流电源,故B中直流应该为交流;实验时应先接通电源后释放纸带,故C中应该为先接通电源,之后释放纸带;
在相等的时间内位移之差总相等,则有:BC=0.77cm-1-0.19cm=0.58cm,CD=1.73cm-0.77cm=0.96cm,DE=3.07cm-1.73cm=1.34cm,所以BC=CD=DE=EF,
因此记录数据错误的是4.8 cm.
因为纸带运动过程中存在阻力,所以用这种方法测出的重力加速度总比实际值偏小.
故答案为:“直流”改为“交流”;“同时”改为“然后”;4.8;纸带和重锤受到阻力作用.
本题解析:
本题难度:一般
5、填空题 在用自由落体做“验证机械能守恒定律”实验中,纸带上打出的点如图所示.若重物的质量为mkg,图中点P为打点计时器打的第一个点,则从起点P到打下点B的过程中,重物重力势能的减少量△Ep=________J,重物动能的增加量△Ek=_________ J,产生实验误差的主要原因是______________ .(打点计时器的打点周期为0. 02 s)(g=9.8m/s2) 
参考答案:0. 49m;0.48m;阻力做负功
本题解析:
本题难度:一般