时间:2018-10-01 01:13:14
1、选择题 下列说法正确的是( )
A.做加速度不断减小的加速直线运动的质点,在加速度不为零之前,速度不断增大,位移不断增大
B.做加速度不断减小的加速直线运动的质点,在加速度为零时,位移不变
C.加速度为零的质点一定处于静止状态
D.某质点的加速度方向向东,且做直线运动,则该质点一定在向东做加速直线运动
参考答案:A
本题解析:A、B、物体做加速运动时满足加速度方向与速度方向相同,则加速度大小减小,速度仍然要增大,在加速度减小为零之前,速度不断增大,由于速度方向不变,则位移不断增大,故A正确,B错误.C、加速度为零的质点,物体处于静止或匀速直线运动,故C错误.D、质点的加速度方向向东做直线运动,不知道速度的方向,物体可向东做加速直线运动或向西做减速运动.故D错误.故选A.
考点:本题考查了加速度与速度的关系、运动的判断.
本题难度:一般
2、选择题 下列情况中的速度,属于平均速度的是
A.刘翔在110米跨栏比赛中冲过终点线时的速度为9.5m/s
B.由于堵车,汽车在通过隧道过程中的速度仅为1.2m/s
C.返回地球的太空舱落到太平洋水面时的速度为8m/s
D.子弹射到墙上时的速度为800m/s
参考答案:B
本题解析:刘翔在110米跨栏比赛中冲过终点线时的速度为9.5m/s, 冲过终点线时对应的是时刻,A错误;由于堵车,汽车在通过隧道过程中的速度仅为1.2m/s,对应的是过程,是平均速度,B正确;同理,CD中的速度对应的是时刻,CD错误。
本题难度:简单
3、简答题 升降机由静止开始以加速度a1匀加速上升3s,速度达到3m/s,接着匀速上升15s,最后再以加速度a2匀减速上升3s才停下来,整个过程中升降机升高了54m.求:
(1)匀加速上升的加速度a1;
(2)匀减速上升的加速度a2;
(3)整个过程中升降机的平均速度大小.
参考答案:(1)升降机匀加速上升的加速度为
a1=ν1-ν0t1=3-03m/s2?=1m/s2
(2)升降机匀减速上升的加速度为
a2=ν2-ν1t3=0-33m/s2=-1m/s2
(3)整个过程中平均速度为
v=xt1+t2+t3=543+15+3m/s≈2.6m/s
答:(1)匀加速上升的加速度a1为1m/s2;
(2)匀减速上升的加速度a2为-1m/s2;
(3)整个过程中升降机的平均速度大小为2.6m/s.
本题解析:
本题难度:一般
4、计算题 一质点做单向直线运动。
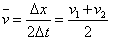
(1)若前一半时间的平均速度为v1,后一半时间的平均速度为v2,则全程的平均速度为多大?
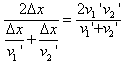
(2)若前一半位移的平均速度为v1",后一半位移的平均速度为v2",则全程的平均速度为多大?
参考答案:解:(1)设全程的时间为2△t,则前一半时间内的位移△x1= v1△t,后一半时间内的位移△x2=v2△t,则全程位移△x=△x1+△x2=(v1+v2)△t,故全程平均速度
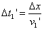
(2)设全程位移为2△x,则前一半位移的时间为
,后一半位移的时间为
,故全程平均速度为

本题解析:
本题难度:一般
5、选择题 由静止开始做匀加速直线运动的火车在第10s末的速度为2m/s,下列说法不正确的是( ? )
A.头10s内通过的路程为10m
B.每秒速度变化了0.2m/s
C.10s内平均速度为1m/s
D.第10s内的位移是2m
参考答案:D
本题解析:
本题难度:一般