时间:2018-10-01 00:47:05
1、计算题 长为L的绝缘细线下系一带正电的小球,其带电荷量为Q, 悬于O点,如图所示. 当在O点另外固定一个正电荷时, 球静止在A处, 则细线拉力是重力mg的两倍. 现将球拉至图中B处(θ=60°),放开球让它摆动,问:
(1)固定在O处的正电荷的电荷量为多少?(5分)
(2)摆球回到A处时悬线拉力为多少? (5分)
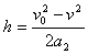
参考答案:(1)?mgl
/kQ?(2)3mg
本题解析:(1)在A点时,带电点球受到重力,绳子的拉力,和O点电荷的排斥力,三力平衡,所以
,解得
(2)从B处摆回到A处过程中,电场力和绳子的拉力垂直于速度方向,不做功,重力做正功,所以有
在A处两球间的库伦力和绳子的拉力的合力充当向心力,所以
,解得
点评:做此类问题时,需先对物体进行受力分析,然后结合牛顿第二定律以及力的平衡条件解题
本题难度:一般
2、计算题 一架军用直升机悬停在距离地面64m的高处,将一箱军用物资由静止开始投下,如果不打开物资上的自动减速伞,物资经4s落地。为了防止物资与地面的剧烈撞击,须在物资距离地面一定高度时将物资上携带的自动减速伞打开。已知物资接触地面的安全限速为2m/s,减速伞打开后物资所受空气阻力是打开前的18倍。减速伞打开前后的阻力各自大小不变,忽略减速伞打开的时间,取g=10 m/s2。求
(1)减速伞打开前物资受到的空气阻力为自身重力的多少倍?
(2)减速伞打开时物资离地面的高度至少为多少?
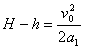
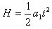
参考答案:解:(1)设物资质量为m,不打开伞的情况下,由运动学公式和牛顿第二定律得
,
解得
,
(2)设物资落地速度恰为v=2m/s,减速伞打开时的高度为h,开伞时的速度为v0,由牛顿第二定律和运动学公式得
解得
26m/s2
,
解得
15m
本题解析:
本题难度:一般
3、选择题 如图所示,绘出了轮胎与地面间的动摩擦因数分别为
1和
2时,紧急刹车时的刹车痕迹(即刹车距离s)与刹车前车速v的关系曲线,则
1和
2的大小关系为(?)
A.
1<
2
B.
1>
2
C..
1=
2
D.条件不足,不能比较
参考答案:B
本题解析:取相同的车速v,可知得μ1的刹车距离小于μ2的刹车距离。汽车在做减速运动,知加速度与行车方向相反。由
,其中加速度取负值,故μ1加速度大于μ2加速度。再由f=ma,得到
。最后,
,对于同一辆车其重量不会变化,即
1>
2。
本题难度:一般
4、简答题 如图1所示,竖直放置的截面积为S、匝数为N、电阻为R的线圈两端分别与两根相距为L?的倾斜光滑平行金属导轨相连.导轨足够长,其轨道平面与水平面成a角,线圈所在空间存在着方向平行于线圈轴线竖直向下的均匀磁场B1,磁感应强度Bl随时间t的变化关系如图2所示,导轨所在空间存在垂直于轨道平面的匀强磁场B2.设在t=0到t=0.2s的时间内,垂直两根导轨放置的质量为m的金属杆静止在导轨上,t=0.2s后,由于B1保持不变,金属杆由静止开始沿导轨下滑,经过足够长的时间后,金属杆的速度会达到一个最大速度vm.已知:S=0.00l?m2,N=l00匝,R=0.05Ω,a=300,L=0.1m,B2=0.2T,g取l0m/s2.(除线圈电阻外,其余电阻均不计,且不考虑由于线圈中电流变化而产生的自感电动势对电路的影响).
(1)求金属杆的质量m并判断磁场B2的方向;
(2)求金属杆在导轨上运动的最大速度vm;
(3)若金属杆达到最大速度时恰好进入轨道的粗糙部分,轨道对杆的滑动摩擦力等于杆所受重力的一半,求棒运动到最大速度后继续沿轨道滑动的最大距离Xm及此过程中回路中产生的焦耳热Q.
参考答案:(1)在t=0到t=0.2s的时间内,金属杆静止在导轨上
? ?线圈产生的感应电动势? E=N△Φ△t=N△B1S△t
?闭合电路中的电流? I=ER
? ?金属杆所受到的安培力? F=B2IL
? 对金属杆,由平衡条件得 mgsinα=F
?由上述程式解得? m=4×10-3kg
? ? 磁场B2的方向垂直导轨向下.
(2)在t=0.2s后,由于B1保持不变,金属杆由静止沿斜面下滑,
根据题意,当金属杆达到最大速度时,杆中电流和(1)问中电流相等.
?B22L2vmR=mgsinα
? ?得到vm=2.5m/s
(3)金属运动到最大速度后轨道变得粗糙后,金属杆开始减速下滑
? 对金属杆,由牛顿第二定律,得-B22L2vR=-m△v△t
∑(B22L2vR△t)=∑(m△v)
? 得到B22L2xmR=mvm
? 解得xm=1.25m
? 由能量转化和守恒定律得12mv2m+mgxmsinα=12mgxm+Q
?解之得Q=0.0125J
本题解析:
本题难度:一般
5、选择题 吊在大厅天花板上的电扇重力为G,静止时竖直固定杆对它的拉力为T;扇叶水平转动起来后,杆对它的拉力为T′.则( )
A.T>G,T′>G
B.T<G,T′<G
C.T=G,T′>G
D.T=G,T′<G
参考答案:电风扇静止时受到的重力和固定杆对它的拉力是一对平衡力,即T=G;
扇叶水平转动起来后,风向下振动,所以风受到电扇的作用力向下,由牛顿第三定律可知电扇受到的风的反作用力向上,T′<G;
故选D.
本题解析:
本题难度:简单