时间:2018-10-01 00:41:13
1、选择题  甲、乙两球位于同一竖直线上的不同位置,甲比乙高出h,将甲、乙两球以v1、v2速度沿同一水平方向抛出,不计空气阻力. 下列条件中可能使乙球击中甲球的是
[? ]
A.同时抛出,且v1<v2? 
B.甲迟抛出,且v1>v2
C.甲早抛出,且v1>v2? 
D.甲早抛出,且v1<v2
参考答案:D
本题解析:
本题难度:一般
2、计算题  从某一高度平抛一物体,当抛出2S后它的速度方向与水平方向成45°角,落地时速度方向与水平方向成60°角。求:
(1)抛出
时的速度;
(2)落地时的速度;
(3)抛出点距地面的高度;
(4
)水平射程。(g取10m/s2)
参考答案:
本题解析:略
本题难度:简单
3、选择题  投飞镖是深受人们喜爱的一种娱乐活动.如图所示,某同学将一枚飞镖从高于靶心正上方的位置水平投向竖直悬挂的靶盘,结果飞镖打在靶心的正下方.忽略飞镖运动过程中所受空气阻力,在其他条件不变的情况下,为使飞镖命中靶心,他在下次投掷时应该(  )
A.换用质量稍大些的飞镖
B.适当增大投飞镖的初速度
C.到稍远些的地方投飞镖
D.适当减小投飞镖时的高度
参考答案:飞镖做的是平抛运动,飞镖打在靶心的正下方说明飞镖竖直方向的位移太大,
根据平抛运动的规律可得,
水平方向上:x=V0t? 
竖直方向上:h=12gt2
所以要想减小飞镖竖直方向的位移,在水平位移不变的情况下,可以适当增大投飞镖的初速度来减小飞镖的运动时间,所以B正确,
故选B.
本题解析:
本题难度:一般
4、选择题  如图所示,小球a从倾角为θ=60°的固定粗糙斜面顶端以速度v1沿斜面恰好匀速下滑,同时将另一小球b在斜面底端正上方与a球等高处以速度v2水平抛出,两球恰在斜面中点P相遇(不计空气阻力),则下列说法正确的是
A.v1∶v2=1∶2
B.v1∶v2=1∶1
C.若小球b以2v2水平抛出,则两小球仍能相遇
D.若小球b以2v2水平抛出,则b球落在斜面上时,a球在b球的下方
参考答案:D
本题解析:小球在P点相遇,知两球的水平位移相等,有:v1tsin30°=v2t,解得v1:v2=2:1.故AB错误.
若小球b以2v2水平抛出,如图所示,若没有斜面,将落在B点,与P点等高,可知将落在斜面上的A点,由于a球、b球在水平方向上做匀速直线运动,可知a球落在A点的时间小于b球落在A点的时间,所以b球落在斜面上时,a球在b球的下方.故C错误,D正确.故选:D.
考点:平抛运动;
本题难度:一般
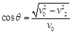
5、选择题  某次军事演习中,红方飞机甲正从北向南水平匀速飞行,飞行员发现其正前方距离x处有一架蓝方飞机乙正从东向西水平匀速飞行,随即水平发射炮弹,炮弹的发射方向与飞机的飞行方向成?角,经过时间t炮弹击中飞机乙。已知飞机甲的速度为v1,乙的速度为v2,甲在地面上静止时发射炮弹的速度为v0。忽略炮弹竖直方向的位移和所受的空气阻力。则下列说法中正确的是
A.
B.
C.
D.
参考答案:C
本题解析:飞机甲的速度为v1,炮弹相对飞机甲的速度为v0,所以把炮弹的速度分解为向南和向西的两个分速度:
,
, 

所以
,A错;
?B错;
?C对;D错。
本题难度:简单