时间:2018-03-18 10:00:54
1、选择题  如图所示,两根足够长的平行光滑金属导轨与水平方向成θ角放置,下端接有电阻R,一根质量为m的导体棒垂直放置在导轨上,与导轨保持良好接触,匀强磁场垂直导轨平面向上,导体棒在外力作用下向上匀速运动。不计导体棒和导轨的电阻,则下列说法正确的是
A.拉力做的功等于棒的机械能的增量
B.合力对棒做的功等于棒动能的增量
C.拉力与棒受到的磁场力的合力为零
D.拉力对棒做的功与棒克服重力做功之差等于回路中产生的电能
参考答案:BD
本题解析:本题考查的是电磁感应定律与力学的综合应用问题,导体棒在外力作用下向上匀速运动,则棒受力平衡,拉力F等于重力沿斜面向下的分力加上安培力;C错误;不计导体棒和导轨的电阻,拉力的功与安培力的功之和等于棒的机械能的增量,A错误,合力对棒做的功等于棒动能的增量;B正确;拉力对棒做的功与棒克服重力做功之差等于回路中产生的电能,D正确;
本题难度:简单
2、计算题  如图,直线MN 上方有平行于纸面且与MN成45°的有界匀强电场,电场强度大小未知;MN下方为方向垂直于纸面向里的有界匀强磁场,磁感应强度大小为B.今从MN 上的O点向磁场中射入一个速度大小为v、方向与MN成45°角的带正电粒子,该粒子在磁场中运动时的轨道半径为R .该粒子从O点出发记为第一次经过直线MN ,第五次经过直线MN时恰好又通过O点.不计粒子的重力.
(1)画出粒子在磁场和电场中运动轨迹的草图;
(2)求出电场强度E的大小;
(3)求该粒子再次从O点进入磁场后,运动轨道的半径r;
(4)求该粒子从O点出发到再次回到O点所需的时间t ;
参考答案:(1)
(2) (3)
(3) (4)
(4)
本题解析:(1)粒子的运动轨迹如图。
(2)由几何关系得 ,粒子从c到o做类平抛运动,且在垂直、平行电场方向上的位移相等,都为
,粒子从c到o做类平抛运动,且在垂直、平行电场方向上的位移相等,都为 ?
?
类平抛运动时间为 ?
?
又
又?
联立得
(3)粒子在电场中的加速度为 ,
, ?,v1=v.
?,v1=v.
粒子第五次过MN进入磁场后的速度 
则第五次过MN进入磁场后的圆弧半径
(4)粒子在磁场中运动的总时间为
粒子做直线运动所需时间为
联立得粒子从出发到第五次到达O点所需时间
本题难度:一般
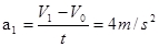
3、计算题  两根相距L=0.5m的足够长的金属导轨如图甲所示放置,他们各有一边在同一水平面上,另一边垂直于水平面。金属细杆ab、cd的质量均为m=0.05kg,电阻均为R=1.0Ω,它们与导轨垂直接触形成闭合回路,杆与导轨之间的动摩擦因数μ=0.5,导轨电阻不计。整个装置处于磁感应强度大小B=1.0T、方向竖直向上的匀强磁场中。当ab杆在平行于水平导轨的拉力F作用下沿导轨向右运动时,从某一时刻开始释放cd杆,并且开始计时,cd杆运动速度 随时间变化的图像如图乙所示(在0~1s和2~3s内,对应图线为直线。g=10m/s2)。求:
随时间变化的图像如图乙所示(在0~1s和2~3s内,对应图线为直线。g=10m/s2)。求:


(1)在0~1s时间内,回路中感应电流I1的大小;
(2)在0~3s时间内,ab杆在水平导轨上运动的最大速度Vm;
(3)已知1~2s内,ab杆做匀加速直线运动,写出1~2s内拉力F随时间t变化的关系式,并在图丙中画出在0~3s内,拉力F随时间t变化的图像。(不需要写出计算过程,只需写出表达式和画出图线)
参考答案:(1)1.2A(2) (3)
(3)
本题解析:(1)在0~1s时间内,cd杆向下做匀加速运动,由乙图可知: ?(1)?(1分)
?(1)?(1分)
对cd杆进行受力分析,根据牛顿第二定律有
在竖直方向上:? ?(2)?(1分)
?(2)?(1分)
在水平方向上:? ?
?
 ?(3)?(2分)
?(3)?(2分)
由(2)和(3)式可得:  ?(4)式?(2分)
?(4)式?(2分)
(2)在2~3s时间内,cd杆向下做匀减速运动时,由乙图可知: ?(5)式?(2分)
?(5)式?(2分)
对cd杆进行受力分析,根据牛顿第二定律有
在竖直方向上:? ?(6)式?(2分)
?(6)式?(2分)
在水平方向上:  ?
?
 ?(7)式?
?(7)式?
由(6)和(7)式可得:  ?(2分)
?(2分)
所以电动势? ?(8)式?(1分)
?(8)式?(1分)
又因为?
所以ab杆的最大速度为: ?
? (9)式?(1分)
(9)式?(1分)
(3)解法提示:
在0~1.0s内,ab杆做匀速运动 ?
? ?(1分)
?(1分)
在2.0~3.0s内,ab杆做匀速运动 ?
? ?(1分)
?(1分)
在1~2s内,ab杆做匀加速运动,加速度为  ?(1分)
?(1分)
对ab杆分析,根据牛顿第二定律有: ? (1s<t<2s)
? (1s<t<2s)
所以表达式为 (1s<t<2s) (10)式(2分)
(1s<t<2s) (10)式(2分) 
当t=1s时拉力为?
当t=2s时拉力为?
在0~3.0s内,拉力F随时间t变化的图像见图(3分)
本题考查电磁感应中切割磁感线的应用,首先根据图像求得加速度,以cd杆为研究对象分析受力,由牛顿第二定律求出安培力从而求得电流大小,同理求得第二问,在第三问中以ab杆为研究对象,由于ab杆做匀速直线运动,受力平衡列式求解
本题难度:一般
4、计算题  在平面直角坐标系xOy中,第I象限存在沿y轴负方向的匀强电场,第Ⅳ象限存在垂直于坐标平面向外的匀强磁场,磁感应强度为B。一质量为m、电荷量为q的带正电的粒子从y轴正半轴上的M点以速度v0垂直于y轴射入电场,经x轴上的N点与x轴正方向成θ=60°角射入磁场,最后从y轴负半轴上的P点垂直于y轴射出磁场,如图所示,不计粒子重力,求 
(1)M、N两点间的电势差UMN; 
(2)粒子在磁场中运动的轨道半径r; 
(3)粒子从M点运动到P点的总时间t。
参考答案:解:(1)设粒子过N点时的速度为v,有 ?①
?① 
v=2v0 ② 
粒子从M点运动到N点的过程,有 ③
 ③ ?④
?④ 
(2)粒子在磁场中以O"为圆心做匀速圆周运动,半径为O"N,有 ?⑤
?⑤ ?⑥
?⑥ 
(3)由几何关系得ON=rsinθ ⑦ 
设粒子在电场中运动的时间为t1,有ON=v0t1 ⑧ ?⑨
?⑨ 
粒子在磁场中做匀速圆周运动的周期 ?⑩
?⑩ 
设粒子在磁场中运动的时间为t2,有

t=t1+t2
本题解析:
本题难度:困难
5、简答题  (14分)如图所示,坐标系xOy在竖直平面内,空间有沿水平方向、垂直纸面向外的匀强磁场,磁感应强度为B。在x>0的空间内有沿x轴正方向的匀强电场,场强为E。一个带正电荷的小球经过图中x轴上的M点,沿着与水平方向成θ=30?角的斜向下的直线做匀速运动,经过y轴上的N点进入x<0的区域内。要使小球进入x<0区域后能在竖直面内做匀速圆周运动,需在x<0区域内另加一匀强电场。若带电小球做圆周运动通过y轴上的P点(P点未标出),重力加速度设为g,求 :
:
(1)小球运动的速度大小;
(2)在x<0的区 域内所加电场的场强大小和方向;
域内所加电场的场强大小和方向;
(3)小球从N点运动到P点所用的时间。
参考答案:(1)
(2) E,方向为竖直向上。
E,方向为竖直向上。
(3)
本题解析:(1)(4分)球在MN段受力如图:
因为在MN段球做匀速直线运动,所以球受到如图所示的三个力而平衡,
所以有:mgtan30° =qE
qvBsin30 °=qE
°=qE
联立解得:mg=3qE; ;
;
(2)(4分)在x<0的区域内,设所加的电场强度为E′,则由运动情况分析知:
球受的重力mg必与电场力qE′是一对平衡力,即:qE′=mg
∴?Eˊ = mg/q = E ;
E ;
E′的方向为竖直向上。
(3)(4分)
球在磁场中做匀速圆周运动的周期是:
T=
而:qvB=m
∴
∴?在NP圆弧间经历的时间是:
本题难度:一般