时间:2018-03-18 09:45:06
1、计算题 一小球以某一初速度沿光滑斜面匀减速上滑,到达顶端时速度为零,历时3s,位移为9m,求其第1s内的位移.
参考答案:解:方法一:反过来看,物体初速度为零,连续相等时间内位移之比为 1:3:5,可知,以某初速度上滑时第1s内的位移为总位移的
,即位移为5m
方法二:本题中还可求出中间时刻的瞬时速度,即整个过程的平均速度
。也可求运动的加速度
(取后一段研究),负号表示a与v的方向相反.当然还可求出初速度v0,由v-v0=at得v0=v-at =0- (-2)×3m/s=6m/s.
本题解析:
本题难度:一般
2、简答题 初速度为零的匀加速直线运动的比例关系成立的条件是什么?对于末速度为零的匀减速直线运动可否应用这些比例关系?
参考答案:这些比例关系成立的条件是初速度为零的匀加速直线运动。对于末速度为零的匀减速直线运动,可以把它看成逆向的初速度为零的匀加速直线运动应用比例关系,这样可使问题简化,不过,关系中的第“1”、“第2” 就应该是倒数的“第1”、“第2”了。
本题解析:
本题难度:简单
3、填空题 物体从静止开始做匀加速直线运动,5s后改为匀速直线运动,又过25 s改做匀减速直线运动,再过10s 停止,一共通过了130 m的位移,则物体做匀速直线运动时速度为_____________
参考答案:4 m/s
本题解析:
本题难度:一般
4、选择题 一质点做匀变速直线运动,通过A点时的速度为vA,经过时间t通过B点时速度为vB,再经过相同时间t通过C点时速度为vC,则关于物体通过B点时的速度vB和物体的加速度a的关系式,正确的是
[? ]
A.
B.
C.
D.
参考答案:ABC
本题解析:
本题难度:一般
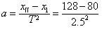
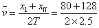
5、计算题 如图所示是用某监测系统每隔2.5s拍摄火箭起始加速阶段的一组照片。已知火箭的长度为40 m,现在用刻度尺测量照片上的长度关系,结果如图所示。请你估算火箭的加速度a和火箭在照片中第2个像所对应时刻的瞬时速度大小v。

参考答案:解:由题图中火箭的长度可以看出照片比例为2 cm:40 m=1:2 000
火箭第1个2.5s内的位移为:xI=4 cm×2 000=80 m
第2个2.5s内的位移为:xⅡ=6.4 cm×2 000=128m
由△x=aT2得
m/s2=7.68 m/s2
第2个像所对应的时刻是第1个像至第3个像的中间时刻,所以v=
m/s=41.6 m/s
本题解析:
本题难度:一般