时间:2018-03-18 09:33:06
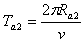
1、填空题 如图,在x轴的上方(y≥0)存在着垂直于纸面向外的匀强磁场,磁感应强度为B.在原点O有一个离子源向x轴上方的各个方向发射出质量为m、电量为q的正离子,速率都为v.对哪些在xy平面内运动的离子,在磁场中可能到达的最大x=______,最大y=______.
参考答案:由Bqv=mv2R可得:
R=mvBq;
沿-x轴方向射出的粒子圆心在y轴上,由下图利用几何关系可知,所有粒子运动的圆心在以O为圆心,R为半径的圆中的第一象限部分,则可知,粒子在x轴和y轴上达到的最远距离为均2R=2mvBq;
故答案为:2mvBq,2mvBq.
本题解析:
本题难度:一般
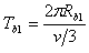
2、选择题 如图所示,abcd为一正方形边界的匀强磁场区域,磁场边界边长为L,三个粒子以相同的速度从a点沿对角线方向射入,粒子1从b点射出,粒子2从c点射出,粒子3从cd边垂直射出,不考虑粒子的重力和粒子间的相互作用.根据以上信息,可以确定
A.粒子1带正电,粒子2不带电,粒子3带负电
B.粒子1和粒子3的比荷之比为2∶1
C.粒子1和粒子2在磁场中的运动时间之比为4∶1
D.粒子3的射出位置与d点相距
参考答案:AB
本题解析:根据左手定则可得:粒子1带正电,粒子2不带电,粒子3带负电.故A正确;
做出粒子运动的轨迹如图,则粒子1运动的半径:
,由
可得:
;粒子3的运动的轨迹如图,则:
,

所以:
.故B正确;粒子1 在磁场中运动的时间:
粒子2 在磁场中运动的时间:
,所以:
,故C错误;粒子3射出的位置与d点相距:x=R-L=
L-L=(
-1)L.故D错误.故选:AB
本题难度:一般
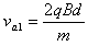
3、计算题 如图,在区域I(0≤x≤d)和区域II(d≤x≤2d)内分别存在匀强磁场,磁感应强度大小分别为B和2B,方向相反,且都垂直于Oxy平面。一质量为m、带电荷量q(q>0)的粒子a于某时刻从y轴上的P点射入区域I,其速度方向沿x轴正向。已知a在离开区域I时,速度方向与x轴正方向的夹角为30°;此时,另一质量和电荷量均与a相同的粒子b也从p点沿x轴正向射入区域I,其速度大小是a的1/3。不计重力和两粒子之间的相互作用力。求
(1)粒子a射入区域I时速度的大小;
(2)当a离开区域II时,a、b两粒子的y坐标之差。 
参考答案:解:(1)设粒子a在I内做匀速圆周运动的圆心为C(在y轴上),半径为Ra1,粒子速率为va,运动轨迹与两磁场区域边界的交点为P",如图
由洛仑兹力公式和牛顿第二定律得
①
由几何关系得
②,
③,式中
由①②③式得
④
(2)设粒子a在II内做圆周运动的圆心为Oa,半径为Ra1,射出点为Pa(图中未画出轨迹),
。由洛仑兹力公式和牛顿第二定律得
⑤
由①⑤式得
⑥
C、P"和Oa三点共线,且由⑥式知Oa点必位于
⑦的平面上。由对称性知,Pa点与P"点纵坐标相同,即
⑧ 式中,h是C点的y坐标
设b在I中运动的轨道半径为Rb1,由洛仑兹力公式和牛顿第二定律得
⑨
设a到达Pa点时,b位于Pb点,转过的角度为α。如果b没有飞出I,则
⑩,
,式中,t是a在区域II中运动的时间,而

,

由⑤⑨⑩式得

由①③⑨式可见,b没有飞出。Pb点的y坐标为

由①③⑧⑨式及题给条件得,a、b两粒子的y坐标之差为

本题解析:
本题难度:困难
4、简答题 如图所示,直角坐标系的Y轴左方为垂直纸面向里的匀强磁场,磁感应强度的大小为B.垂直x轴竖直放置一个足够大接收屏PO,它离原点距离为Og=L/2;直角坐标系的第一象限和第四象限的abc0,Ocdf均是边长为L的正方形,其内以a、f为圆心各有一垂直纸面方向的半径为乙的1/4圆形匀强磁场区域,磁感应强度的大小均为B.bd为一线状发射装置,射出一束质量为m、电荷量为s的电子,以相同的初速度沿纸面垂直于bd边射入两个正方形区域,电子从bd边上的任意点入射,都只能从原点O射出,进入Y轴左方磁场.不考虑电子之间的相互作用,不计重力.求:
(I)第一象限和第四象限中匀强磁场区域的磁感应强度的方向和电子初速度v0的大小;
(2)电子打到接收屏PQ上的范围;
(3)打在接收屏上的电子在磁场中运动的最长时间t.
参考答案:(1)根据电子在第一、四象限内的偏转分析和左手定则可知:
第一象限的磁场方向为垂直纸面向外…①
第四象限的磁场方向为垂直纸面向内…②
电子从b点射入的电子从O点射出,轨迹如图所示,则:
由几何关系得其圆周运动的半径:
R=L…③
由牛顿运动定律有:ev0B=mv20R…④
联解③④得:v0=eBLm…⑤
(2)设从O点沿-y方向进入磁场的电子打在屏上最低点h,圆心为O1,由图中几何关系可知:
.O1g=R-L2…⑥
.gh=
本题解析:
本题难度:一般
5、选择题 一个带电粒子,沿垂直于磁场的方向射入一匀强磁场,粒子的一段径迹如图所示,径迹上的每一小段都可近似看成圆弧,由于带电粒子使沿途的空气电离,粒子的动能逐渐减小(带电量不变)。从图中情况可以确定?

[? ]
参考答案:B
本题解析:
本题难度:一般