时间:2018-03-18 09:19:48
1、选择题 92U放射性衰变有多种途径,其中一种途径是先衰变成83Bi,而83Bi可以经一次衰变变成aX(X代表某种元素),也可以经一次衰变变成81Ti,aX和81Ti最后都衰变变成82Pb,衰变路径如图所示,则可知图中(? )
A.过程①是β衰变,过程③是α衰变;过程②是α衰变,过程④是β衰变
B.过程①是β衰变,过程③是α衰变;过程②是β衰变,过程④是α衰变
C.过程①是α衰变,过程③是β衰变;过程②是α衰变,过程④是β衰变
D.过程①是α衰变,过程③是β衰变;过程②是β衰变,过程④是α衰变
参考答案:A
本题解析:β衰变产生电子
,α衰变产生
,过程①由于质量数不变,故应该是β衰变,则a=84,过程③由于电荷数减少2(或者根据质量数减少4),故应该是α衰变,过程②由于电荷数减少2,故应该是α衰变,且b=206,过程④由于质量数不变(或根据电荷数增加1),故应该是β衰变,由此判断A正确
所以选A
本题难度:简单
2、计算题 如图所示,有界匀强磁场的磁感应强度为B,区域足够大,方向垂直于纸面向里,直角坐标系XOY的Y轴为磁场的左边界,A为固定在X轴上的一个放射源,内装镭
,镭核沿着+x方向释放一个α粒子后衰变成氡核(Rn),在Y轴上放有粒子接收器,移动粒子接收器,在N点能接收到α粒子,N点到O点的距离为l,已知OA间距离为
,α粒子质量为m、电荷量为q,氡核的质量为M。
(1)写出镭核的衰变方程;
(2)求一个原来静止的镭核衰变时放出的能量。
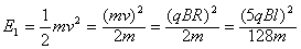
参考答案:解:(1)衰变方程为
(2)镭核衰变放出α粒子和氡核,分别在磁场中做匀速圆周运动,α粒子射出Y轴时被粒子接收器接收。设α粒子在磁场中的轨道半径为R,其圆心位置如图中O"点,有
,解得
α粒子在磁场中做匀速圆周运动,有
,即mv=qBR
α粒子的动能为
衰变过程中动量守恒,有mv=Mv"
氡核反冲的动能为
衰变释放能量为

本题解析:
本题难度:困难
3、实验题 某考古队发现一古生物骸骨.考古专家根据骸骨中
的含量推断出了该生物死亡的年代.已知此骸骨中
的含量为活着的生物体中
的1/4,
的半衰期为5730年.该生物死亡时距今约?年.
参考答案:11460年
本题解析::该核剩下1/4,说明正好经过两个半衰期时间,故该生物死亡时距今约2×5730年=11460年。
本题难度:简单
4、选择题 不定项选择
原子核A经过一次β衰变和一次α衰变:
,则(? )
A.核A的中子数减核C的中子数等于2
B.核A的质量数减核C的质量数等于5
C.核C的质子数比核A的质子数少l
D.核A的中性原子中的电子数比核B的中性原子中的电子数多l
参考答案:C
本题解析:
本题难度:简单
5、选择题 关于核衰变和核反应的类型,下列表述正确的有
[? ]
A.
U→
Th+
He 是α衰变
B.
N+
He→
O+
H 是β衰变
C.
H+
H→
He+
n 是轻核聚变
D.
Se→
Kr+2
e 是重核裂变
参考答案:AC
本题解析:
本题难度:简单