时间:2018-03-18 09:17:34
1、选择题 关于α射线、β射线和γ射线,下列说法中正确的是( )
A.α射线在物质中穿透本领最大
B.原子核中的质子衰变产生了β粒子
C.γ射线是高频率电磁波
D.γ射线的电离本领最大
参考答案:C
本题解析:
本题难度:一般
2、选择题 下列说法正确的是( )
A.卢瑟福用α粒子轰击氮核发现了中子
B.a射线是原子核自发放射出的氮核,它的穿透能力最强
C.γ射线是原子核被激发后产生的
D.氢原子由较高能级跃迁到较低能级时,电子动能增加,原子能量增加
参考答案:C
本题解析:
本题难度:简单
3、计算题 某些建筑材料可产生放射性气体氡,氡可以发生α或β衰变,如果人长期生活在氡浓度过高的环境中,那么,氡经过人的呼吸道沉积在肺部,并大量放出射线,从而危害人体健康。原来静止的质量为M的氡核(22286Rn)发生一次α衰变生成新核钋(Po)。已知衰变后的α粒子的质量为m、电荷量为q、速度为v,并假设衰变过程中释放的核能全部转化为α粒子和新核的动能。(注:涉及动量问题时,亏损的质量可忽略不计)
(1)写出衰变方程;
(2)求出衰变过程中的质量亏损。
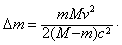
参考答案:解:(1)
(2)设新核钋的速度为v"
由动量守恒定律mv=(M-m)v",得
衰变过程中释放的核能为
由爱因斯坦质能方程,得:△E=△m·c2
解得
本题解析:
本题难度:一般
4、选择题 放射性元素所放出的β粒子是
A.原子核外的最外层电子
B.原子核外电子跃迁时所发射的光子
C.原子核内的中子转变为质子时放出的电子
D.原子核内的质子转变为中子放出的电子
参考答案:C
本题解析:放射性元素所放出的β粒子是原子核内的中子转变为质子时放出的电子,选项C正确。
本题难度:简单
5、填空题 碘131核不稳定,会发生β衰变,其半衰期为8天。
(1)碘131核的衰变方程:
→____(衰变后的元素用X表示)。
(2)经过____天有75%的碘131核发生了衰变。
参考答案:(1)
(2)16
本题解析:
本题难度:一般