时间:2018-03-18 09:02:50
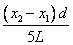
1、实验题 某同学用如图甲所示的实验装置,做《用双缝干涉测光的波长》的实验,他用带有游标尺的测量头(如图乙所示)测量相邻两条亮条纹间的距离Δx。转动测量头的手轮,使分划板的中心刻线对齐某一条亮条纹(将这一条纹确定为第一亮条纹)的中心,此时游标尺上的示数情况如图丙所示,读数用x1表示;转动测量头的手轮,使分划板的中心刻线对齐第6亮条纹的中心,此时游标尺上的示数情况如图丁所示,则图丙的示数x1=______________mm;则图丁的示数x2=______________mm。如果实验中所用的双缝间的距离d=0.20mm,双缝到屏的距离L=60cm,则计算波长的表达式λ=______________(用d、L、x1、x2表示)。根据以上数据,可得实验中测出的光的波长λ=______________m。


参考答案:0.15,8.95,
,6.6×10-7
本题解析:
本题难度:一般
2、选择题 如图所示,在暗室中从单色点光源S直接射到屏PP"上的一束光在Sb和Sd之间,从S射到平面镜MN再反射到屏PP"上的另一束光在Ma和Nc之间(S"是S在平面镜MN的像)。关于这时屏PP"上是否可能出现明暗相间的条纹,下列说法正确的是
[? ]
A、不可能
B、可能,出现在a、b之间
C、可能,出现在b、c之间?
D、可能,出现在c、d之间
参考答案:C
本题解析:
本题难度:一般
3、实验题 如图所示,用很弱的红光做双缝实验,图a的曝光时间最短、图b、图c的曝光时间依次增加,图a中的亮点是光子落在胶片上留下的痕迹,长时间曝光后最终形成了图c中明暗相间的条纹。这一实验的整个过程说明了光具有?性。如果改用紫光而其他实验条
件不变,最终形成的图c中条纹间距将会?(填“增大”,“减小”或“不变”)。
参考答案:波粒二象;减小
本题解析:略
本题难度:一般
4、实验题 如图所示为“用双缝干涉测光的波长”实验装置图。光具座上放置的光学元件依次为:①光源、②滤光片、③单缝、④双缝、⑤遮光筒、⑥光屏。 
(1)本实验的步骤有:
? ①取下遮光筒左侧的元件,调节光源高度,使光束能直接沿遮光筒轴线把屏照亮;
? ②按合理顺序在光具座上放置各光学元件,并使各元件的中心位于遮光筒的轴线上;
? ③用米尺测量双缝到屏的距离;
? ④用测量头(其读数方法同螺旋测微器)测量数条亮纹间的距离。
在操作步骤②时,还应注意使单缝与双缝______________和______________。
(2)对于某种单色光,为增加相邻亮纹(暗纹)间的距离,除了采取减小双缝间距离的办法,还可以采用______________的方法。
(3)若测出n条亮纹间的距离是a,则相邻两条亮纹间的距离
______________。
参考答案:(1)相互平行,间距约为5cm-10crn
(2)增大光屏和双缝间的距离
(3)
本题解析:
本题难度:困难
5、选择题 如图所示是单色光双缝干涉实验某一时刻的波形图,实线表示波峰,虚线表示波谷.在此时刻,介质中A点为波峰相叠加点,B点为波谷相叠加点,A、B连线上的C点为某中间状态相叠加点.D、E为波峰与波谷的叠加点,如果把屏分别放在A、B、C、D、E五个位置,那么( ).
A.A、B、C三个位置都出现亮条纹
B.C位置处出现暗条纹
C.C位置出现亮条纹或暗条纹要由其他条件决定
D.D、E位置出现暗条纹
参考答案:AD
本题解析:在干涉现象中,所谓“振动加强的点”是指两列波在该点引起的振动方向总是相同,该点的振幅是两列波的振幅之和,而不要理解为该点始终处于波峰或波谷,在某些时刻它也可以位于平衡位置(如图中C点).所谓“振动减弱的点”是指两列波在该点引起的振动方向总是相反的,该点的振幅是两列波的振幅之差,如果两列波的振幅相同,则该点始终在平衡位置.对光波而言,该点是完全暗的.
本题中,A、B、C连线上所有的点到缝S1、S2的距离相等,所以A、B、C三点都是振动加强的点,屏上对应出现的都是亮条纹.D、E是波峰与波谷相叠的点,到S1、S2的距离为半个波长的奇数倍,所以屏上对应出现暗条纹.
本题难度:一般