时间:2018-03-18 08:50:40
1、选择题 关于恒星,下列说法中正确的是( ? )
A.恒星的质量越大寿命就越长
B.太阳是宇宙中最大的恒星
C.恒星最终一定会变成黑洞
D.太阳是离地球最近的恒星
参考答案:D
本题解析:
本题难度:简单
2、填空题 发射高轨道卫星可以用如下方式进行:先把卫星送到近地圆轨道I,然后当卫星在I轨道上运行到P点时启动卫星自带火箭使卫星加速,卫星则变为在椭圆轨道II上运行,等卫星在轨道II上运行到Q点时再一次启动火箭使卫星加速,卫星变成在绕地圆轨道III?上运行.已知轨道I的半径为r,轨道III的半径为R,卫星在轨道I上运行的周期为T,则卫星在轨道II上从P点经半个周期到Q点的时间t=______.
参考答案:轨道的半长轴长为:a=12(R+r);
根据开普勒第三定律,有:T2r3=T22a3;
解得:T2=
本题解析:
本题难度:一般
3、计算题 太阳系中除了有九大行星外,还有许多围绕太阳运行的小行星,其中一颗名叫“谷神”的小行星,质量为1.00×1021kg,它运行的轨道半径是地球的2.77倍,试求出它绕太阳一周所需要的时间是多少年?(可用根式表示)
参考答案:解:设地球到太阳的距离为r,则谷神星到太阳的距离为2.77r,地球公转周期为1年,谷神星公转周期为T年,根据开普勒第三定律
?
本题解析:
本题难度:一般
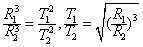
4、计算题 地球到太阳的距离为水星到太阳距离的2.6倍,那么地球和水星绕太阳运动的周期之比是多少?(设地球和水星绕太阳 运动的轨道为圆)
参考答案:解:地球、水星到太阳的距离关系已知,由开普勒第三定律可求出周期关系.
设地球绕太阳运动的周期为T1,水星绕太阳运动的周期为T2.
根据开普勒第三定律有
则
由题意知
,故
本题解析:
本题难度:一般
5、选择题 多选
关于太阳系中各行星的运动,下列说法正确的是( ? )
A.太阳系中的各行星有一个共同的轨道焦点
B.行星的运动方向总是与它和太阳的连线垂直
C.行星在近日点的速率大于远日点的速率
D.离太阳“最远”的行星,绕太阳运动的公转周期最长
参考答案:ACD
本题解析:
本题难度:简单