时间:2018-03-18 08:40:45
1、选择题  如图所示,倾角θ=30°的斜面固定在地面上,长为L、质量为m、粗细均匀、质量分布均匀的软绳AB置于斜面上,与斜面间动摩擦因数
,其A端与斜面顶端平齐。用细线将质量也为m的物块与软绳连接,给物块向下的初速度,使软绳B端到达斜面顶端(此时物块未到达地面),在此过程中(?)?
A.物块的速度始终减小
B.软绳上滑
时速度最小
C.软绳重力势能共减少了
D.软绳减少的重力势能一定小于其增加的动能与克服摩擦力所做的功之和
参考答案:BCD
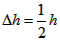
本题解析:随着软绳在斜面上的部分越来越少,摩擦力越来越小,当摩擦力与软绳的重力沿斜面向下的分力小于mg时物块速度开始增大,A错;设软绳在斜面上的质量为
时,软绳所受合力为零,
,
,在此之前软绳一直做减速运动,B对;设A点重力势能为零,在图示位置重力势能为
,软绳B端到达斜面顶端时,重力势能为-mgL,重力势能减小量为
,C对;根据能量守恒定律,软绳和物块减小的重力势能之和转化为系统动能的增量和克服摩擦力做功,D对;
本题难度:一般
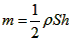
2、计算题  如图所示,有一连通器,左右两管的横截面积均为S,内盛密度为ρ的液体,开始时两管内的液面高度差为h。打开底部中央的阀门K,液体开始流动,最终两液面相平。在这一过程中,液体的重力势能变化了多少?是增加了还是减少了? 
参考答案:解:由于A、B两管截面积相等,液体是不可压缩的,所以B管中液面下降的高度和A管中液面上升的高度相同,液面最终静止在初始状态A管液面上方
的处。
据分析可知,全部液体重力势能的变化,就相当于B管上部长
的液柱移到A管上部的过程中重力势能的减少量。
在该过程中,B管上部长
的液柱的重心下降的高度为:
该段液柱的质量为:
其重力势能的减小量为:
即在这一过程中,液体的重力势能减小了,减小了
。
本题解析:
本题难度:一般
3、实验题  如图所示,一质量为m的小球,用长为L的轻绳悬挂于O点.小球在水平力F的作用下从最低点缓慢地移到图示位置,则此过程中力F所做的功为?. ?
参考答案:
本题解析:由功能关系知,拉力做的功等于小球重力势能的增量,即
本题难度:一般
4、选择题  下列说法正确的是(  )
A.只要力的大小和方向相同,力的作用效果就相同
B.物体各部分都会受到重力的作用,重心一定在物体上
C.两物体间若有摩擦力,就一定有弹力
D.摩擦力一定阻碍物体的运动,而且总是与压力成正比
参考答案:C
本题解析:
本题难度:一般
5、选择题  下列有关神州七号飞船的说法中正确的是(  )
A.2008年9月25日晚21时10分04秒神州七号飞船成功发射升天,其中21时10分04秒指的是时间
B.地面控制人员监测神州七号飞船在高空运行位置时可以将飞船看作质点
C.神州七号飞船在发射升空阶段中的加速度方向竖直向上,它的返回舱返回地面阶段中着地前的加速度方向竖直向下
D.神州七号飞船在距离地面343km的高空运行时不受重力作用
参考答案:B
本题解析:飞船在一瞬间成功发射,为时刻,A错误;地面控制人员监测神州七号飞船在高空运行位置时飞船的大小和形状是次要因素,能看做质点,B正确;返回舱返回地面阶段中着地前需要减速,加速度向上,C错误;神州七号飞船在距离地面343km的高空运行时重力完全充当向心力,故D错误;
考点:考查了质点,时间和时刻,加速度,重力
本题难度:一般