时间:2017-11-10 09:02:46
1、选择题 不定项选择
现代科学技术的发明与材料科学、能源的开发密切相关,下列说法正确的是( ? )
A.化石能源为清洁能源
B.纳米材料的粒度在1~100μm之间
C.能源就是能量,是不会减少的
D.液晶既有液体的流动性,又有光学性质的各向异性
参考答案:D
本题解析:
本题难度:简单
2、选择题 关于固体、液体性质,下列说法正确的是
A.晶体和非晶体在一定的条件下可以转化
B.由于液体表面分子间距离大于液体内部分子间的距离,液面分子间只有引力,没有斥力,所以液体表面具有收缩的趋势
C.当液晶中电场强度不同时,它对不同颜色的光吸收强度就不同
D.蔗糖受潮后会粘在一起,没有确定的几何形状,它是非晶体
参考答案:AC
本题解析:同种物质可能以晶体和非晶体两种不同的形态出现,在一定的条件下可以转化,A正确;液体分子间既有引力又有斥力,选项B错误;蔗糖是晶体,选项D错误;故选AC
点评:本题难度较小,掌握晶体、非晶体区别、分子间距与分子力的关系即可
本题难度:简单
3、选择题 下列有关热现象的说法中,正确的是
[? ]
A.布朗运动是液体或气体分子的运动,它说明分子永不停息做无规则运动
B.两分子间距离增大,分子间的势能一定增加
C.在热
传导过程中,热量可以自发地由低温物体传递到高温物体
D.液晶显示屏是应用液晶的光学各向异性制成的
参考答案:D
本题解析:
本题难度:简单
4、选择题 关于热现象和热学规律,下列说法中正确的是( )
A.只要知道气体的摩尔体积和阿伏伽德罗常数,就可以算出气体分子的体积
B.悬浮在液体中的固体微粒越小,布朗运动就越明显
C.一定质量的理想气体,保持气体的压强不变,温度越高,体积越大
D.一定温度下,饱和汽的压强是一定的
E.由于液体表面分子间距离大于液体内部分子间的距离,液面分子间只有引力,没有斥力,所以液体表面具有收缩的趋势
参考答案:BCD
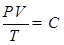
本题解析:只要知道气体的摩尔体积和阿伏伽德罗常数,就可以算出气体分子运动占据的空间的体积;选项A错误;悬浮在液体中的固体微粒越小,液体的温度越高,则布朗运动就越明显,选项B正确;根据
可知,一定质量的理想气体,保持气体的压强不变,温度越高,体积越大,选项C正确;饱和汽的压强与温度有关,一定温度下,饱和汽的压强是一定的,选项D正确;由于液体表面分子间距离大于液体内部分子间的距离,液面分子间分子引力大于斥力,所以液体表面具有收缩的趋势,选项E错误;故选BCD.
考点:分子动理论;布朗运动;理想气体状态方程;饱和汽;表面张力.
本题难度:一般
5、选择题 关于相对湿度和饱和汽压,下列说法中正确的是( )。
A.相对湿度过小对人不会有影响
B.对于干湿泡湿度计,空气的相对湿度越小,两支温度计指示的温度差就越大
C.密闭容器中装有某种液体及其饱和蒸汽,若温度升高,同时增大容器的容积,饱和汽压可能会减小
D.密闭容器中某种蒸汽开始时是饱和的,若保持温度不变,只减小容器的容积,饱和汽压一定会增大
参考答案:B
本题解析:略
本题难度:一般