时间:2017-11-10 08:41:30
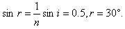
1、选择题 一个半径为5m的圆形蓄水池装满水,水面与地面相平,在池的中心上空离水面3m处吊着一盏灯,一个身高1.8m的人离水池边缘多远的距离恰能看到灯在水中的像(? )
A.1.8m
B.2.5m
C.3m
D.5m
参考答案:C
本题解析:水池面相当于平面镜,作反射光光路图如图所示.若人在某位置时恰能通过水池的边缘看到灯在水中的像,这时光源发出的光恰好通过水池边缘反射入人的眼睛.
解:由反射定律可知
,由几何分析得:△SBO∽△DCO,故有h/H=x/r
故x=hr/H=1.8×5/3=3 m
本题难度:简单
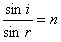
2、选择题 a、b两种单色光以相同的入射角从空气中射入介质中时,如图所示发现b的折射线更靠近法线,由此可判定( )
A.a比b更容易发生衍射现象
B.当光从介质射向空气中,a、b要发生全反射的临界角分别为Ca、Cb,则Ca<Cb
C.在介质中b的速度较大
D.单色光b的频率较低
参考答案:A、D如图,由sinθ1sinθ2=n可知,b的折射率大于a的折射率.所以b的频率较大,波长较短,而a的频率较小,波长较长,波动性较强,故a比b更容易发生衍射.故A正确.D错误.
B、由sinC=1n可知临界角 Ca>Cb,故B错误.
C、由n=cv可知介质中va>bb,故C错误.
故选A
本题解析:
本题难度:简单
3、计算题 如图所示是用于某光学仪器中的一种折射率n=1.5的棱镜。现有一束光线沿MN的方向射到棱镜的AB界面上,入射角的正弦值sini=0.75。求光在棱镜中传播的速率及此束光线射出棱镜后的方向(不考虑返回到AB面上的光线)。
参考答案:解:由
,得v"=2×108m/s
由
,得
设光线在BC边发生全反射的临界角为α
由
可知α<45°
而光线在BC面的入射角θ=45°>α,故光线在BC面上发生全反射后,垂直于AC面射出棱镜
本题解析:
本题难度:一般
4、选择题 下图中一玻璃柱体的横截面为半圆形。细的单色光束从空气射向柱体的O点(半圆的圆心),产生反射光束1和折射光束2。已知玻璃折射率为
,入射角为45°(相应的折射角为24°),现保持入射光不变,将半圆柱绕O点在图示平面内顺时针转过15°,如图中虚线所示,则 
[? ]
A.光束1转过15°
B.光束1转过30°
C.光束2转过的角度小于15°
D.光束2转过的角度大于15°
参考答案:BC
本题解析:
本题难度:一般
5、选择题 如图所示,截面为等腰三角形的棱镜顶角α=41.30°,一束白光以较大的入射角θ从棱镜的一侧射入,通过棱镜后从另一个侧面射出,在光屏上形成由红到紫的彩色光带.当入射角θ逐渐减小到零的过程中,请根据下表中该棱镜材料对各种色光的折射率和发生全反射的临界角,判断光屏上彩色光带的变化情况( )
| 色光 | 红 | 橙 | 黄 | 绿 | 蓝 | 紫 折射率 1.513 1.514 1.517 1.519 1.528 1.532 临界角 41.37° 41.34° 41.23° 41.17° 40.88° 40.75° |

参考答案:由表格数据看出,紫光的折射率最大,临界角最小,当入射角θ逐渐减小到零的过程中,光线射到棱镜右侧面的入射角减小,紫光的入射角最先达到临界角,发生全反射,最先消失.
当入射角θ减小到零时,光线射到棱镜右侧面的入射角等于α=41.30°,小于红光与橙光的临界角,所以这两种光不发生全反射,仍能射到光屏上.故最后光屏上只剩下红、橙两种色光.故B正确,ACD错误.
故选B
本题解析:
本题难度:一般