高中物理高考知识点《机车启动》试题特训(2017年最新版)(七)

时间:2017-11-10 07:51:36

微信搜索关注"91考试网"公众号,领30元,获取事业编教师公务员等考试资料40G

1、选择题  质量为m的物体静止在光滑水平面上,从t=0时刻开始受到水平力的作用。力的大小F与时间t的关系如图所示,力的方向保持不变,则


[? ]


A.3t0时刻的瞬时功率为
B.3t0时刻的瞬时功率为
C.在t=0到3t0这段时间内,水平力的平均功率为
D.在t=0到3t0这段时间内,水平力的平均功率为


参考答案:BD


本题解析:


本题难度:一般



2、简答题  如图所示的电路中,两平行金属板AB水平放置,两板间的距离d=40cm.电源电动势E=24V,内电阻r=1,电阻R=15.闭合开关S,待电路稳定后,将一带正电的小球从A板上方距离为d=40cm处由静止开始释放.若小球带电量为q=,质量为m=,不考虑空气阻力(取g=10m/s2).求:
(1) 滑动变阻器接入电路的阻值为多大时,小球恰能到达B
(2) 在满足第(1)问的条件下,电源的输出功率是多大.


参考答案:(1)(2)


本题解析:
(1)对小球,因小球恰好到达B板所以m/s
?
对电路
所以           
(2)


本题难度:一般



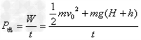
3、计算题  节水喷灌系统已经在我国很多地区使用。某节水喷灌系统如图所示,喷口距离地面的高度h=1.8m,能沿水平方向旋转,水可沿水平方向喷出,喷水的最大速率v0=15m/s,每秒喷出水的质量m0= 4.0kg。所用的水是从井下抽取的,井中水面离地面的高度H=1.95m,并一直保持不变。水泵由电动机带动,电动机电枢线圈电阻r=5.0Ω。电动机正常工作时,电动机的输入电压U=220V,输入电流I=4.0A。不计电动机的摩擦损耗,电动机的输出功率等于水泵所需要的最大输入功率。水泵的输出功率与输入功率之比称为水泵的抽水效率。(计算时π可取3,球体表面积公式s=4πr2)
(1)求这个喷灌系统所能喷灌的最大面积s;
(2)假设系统总是以最大喷水速度工作,求水泵的抽水效率η;
(3)假设系统总是以最大喷水速度工作,在某地区需要用蓄电池将太阳能电池产生的电能存储起来供该系统使用,根据以下数据求所需太阳能电池板的最小面积smin。
已知:太阳光传播到达地面的过程中大约有30%的能量损耗,太阳辐射的总功率P0=4×1026W,太阳到地球的距离R=1.5×1011m,太阳能电池的能量转化效率约为15%,蓄电池释放电能的效率约为90%。


参考答案:解:(1)水从喷口喷出后做平抛运动下落高度:
最大水平位移:
喷灌面积:
(2)电动机的输入功率:
电动机的热功率:
水泵的输入功率等于电动机的输出功率:?
水泵的输出功率:
?
可求得
水泵效率:
(3)电池板最小面积接收太阳能的功率:
电池板接收太阳能转化为电能的功率:?
联立以上二式得:
(或直接由:,代入数据得:
(若π取3.14,则同样给分)


本题解析:


本题难度:困难



4、计算题  如图所示,理想变压器的输出端接有一交流电动机,电动机线圈的电阻为R,电动机正在将质量为m的重物以速度v匀速提升,若不计摩擦和空气阻力,变压器的输入功率为P,求图中电流表的示数。


参考答案:


本题解析:


本题难度:一般



5、选择题  质量为2t的汽车,发动机的牵引力功率为30kw,在水平的公路上,能达到的最大速度为15m/s,当汽车的速度为10m/s时的加速度为(? )
A.0.5m/s2
B.1 m/s2
C.1.5 m/s2
D.2 m/s2


参考答案:A


本题解析:略


本题难度:简单




首页 上页 6 7 8 下页 尾页 7/10/10
微信搜索关注"91考试网"公众号,领30元,获取公务员事业编教师考试资料40G
【省市县地区导航】【考试题库导航】
 ★ 高考省级导航 ★ 
全国 A安徽 B北京 C重庆 F福建 G广东 广西 甘肃 贵州 H河南 河北 湖南 湖北 黑龙江 海南 J江苏 江西 吉林 L辽宁 N内蒙古 宁夏 Q青海 S山东 山西 陕西 四川 上海 T天津 X新疆 西藏 Y云南 Z浙江
 ★ 高考信息汇总 ★ 
 ★ 高考历年真题 ★ 
 ★ 高考历年真题 ★ 
 ★ 高考题库 ★ 
 ★ 高考题库 ★ 

电脑版  |  手机版  |  返回顶部