高中物理知识点复习《弹力》考点强化练习(2017年押题版)(三)

时间:2017-11-10 07:46:07

微信搜索关注"91考试网"公众号,领30元,获取事业编教师公务员等考试资料40G

1、选择题  两个物块A、B的质量均为m,叠放在一个竖直的弹簧上,如图所示,弹簧的劲度系数为k,弹簧的质量忽略不计,今用一竖直向下的力F压物块A,弹簧在F的作用下又缩短了△L(弹簧仍在弹性限度内),突然撤去外力F,此时A对B的作用力的大小为(  )
A.F
B.F+mg
C.

k△L
2
+mg
D.
k△L
2
+2mg
91考试网


参考答案:没有F作用时有:
F弹=2mg
当F作用时有:
F+2mg=F弹+k△L
撤去F时,弹簧弹力不发生变化,根据牛顿第二定律得:
a=F弹+k△L2m=2mg+k△L2m=1+△L2m
对A根据牛顿第二定律得:
a=T-mgm
解得:T=k△L2+2mg
根据牛顿第三定律可知:A对B的作用力为k△L2+2mg
故选D


本题解析:


本题难度:一般



2、实验题  图甲是“研究平抛物体的运动”的实验装置图.
(1)图乙是正确实验取得的数据,其中O为抛出点,则此小球做平抛运动的初速度为______________m/s(取g="9.8" m/s2).
(2)在另一次实验中将白纸换成方格纸,每小格的边长L=5 cm,通过实验,记录了小球在运动途中的三个位置,如图丙所示,则该小球做平抛运动的初速度为_______m/s;B点的竖直分速度为________m/s(取g="10" m/s2).


参考答案:(1)1.6? (2)1.5? 2


本题解析:(1) 竖直位移,可求出水平初速度为1.6 m/s(2) 由ABC三点水平间距相等,运动时间相等,由可求出T和初速度


本题难度:简单



3、实验题  在某次实验中利用打点计时器打出的一条纸带如图所示。A、B、C、D、E、F是该同学在纸带上选取的六个计数点,其中计数点间还有若干个点未标出,设相邻两个计数点间的时间间隔为T。该同学用刻度尺测出AC间的距离为,BD间的距离为,则打B点时小车运动的速度?,小车运动的加速度?


参考答案:


本题解析:匀变速直线运动中间时刻瞬时速度等于平均速度,根据匀变速直线运动连续相等时间间隔内位移之差,可得整理得,即得到


本题难度:一般



4、实验题  为了测量玩具遥控汽车的额定功率,某学习小组用天平测出小车质量为0.5 kg,小车的最大速度由打点计时器打出的纸带来测量(如图所示)。主要实验步骤有:
A. 给小车尾部系一条长纸带并让纸带穿过打点计时器;
B. 接通打点计时器电源(电源频率50 Hz),使小车以额定功率沿水平地面直线加速到最大速度,继续运行一段时间后关闭小车发动机,使其沿地面直线向前滑行直至停止;
C. 学习小组分析后选择了认为符合要求的一段纸带,从某点开始每5个连续点标为一个记数点,并将表示每两个相邻记数点间距离的字母和测量数据在纸带上做了记录。(所有结果均保留2位有效数字)

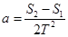
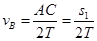
① 相邻两记数点间的时间间隔T = ______s,由纸带知遥控汽车的最大速度为=_________m/s;
② 实验小组在计算关闭发动机后的遥控汽车滑行过程的加速度时,选择了纸带上后5段数据,经过分析又舍掉了一段不合理数据。请你判断哪段数据不合理_________ (用字母表示),舍掉了不合理数据后加速度的计算表达式为="_________" (请用时间间隔T及纸带上表示记数点间距离的字母表示),计算出的加速度大小为______m/s2;
③ 遥控汽车滑行过程的阻力大小为=_________N,其额定功率=_________W。


参考答案:①0.1;2或2.01?②?;2或2.0或2.00?③1或1.0或1.00;2或2.01


本题解析:①打点计时器每隔0.02 s打一次点,五个段为一个计数单位,时间为0.1 s 。最大速度出现在S1段,速度为m/s。
②每一段位移的差值大致应该相等,遥控车才做匀减速运动,S5段不合理。用最后四段计算加速度,加速度为,代入数据可得加速度为2.00 m/s2。
③阻力N,额定功率为W。


本题难度:一般



5、实验题  (20分)
(1)(6分)从下图中读出球的直径是?mm。

(2)(14分)有一个量程为3V的电压表,代号为④,经过初步粗测其内阻大约为3kn,现在的任务是:测出该电压表内阻的精确值。现在实验室可提供的器材有:
①取值范围为0.1Ω到9999.9Ω,最大电流为0.1A,代号为Ra的电阻箱一台;
②最大电阻为1000Ω最大电流为0.2A,代号为尺Rb的滑动变阻器一个;
③开路电压约为5V、内阻可忽略不计的电源一个,代号为E;
④代号为K的电键一个;
⑤供连接用的导线若干条。
要求:(a)在这些器材中,适当选择有用的器材,设计一个简便易行的测量电路,画出电路图并标出所用器材的代号。
(b)列出测量步骤:并写出计算电压表内阻的最终表达式。


参考答案:
(1)11.70? …………6分
(2)注意:选用其它方案测量的,只要合理,可以适当参照本方案适当给分。
…………14分
(a)设计的测量电路如图所示。

(b)由分析可以确定实验步骤如下:
①将待测电压表V、电阻箱Ra、电源E和电键K按图所示电路用导线连成测量电路。
②把Ra放至最大值,按下电键K,接通电路。
③调节电阻箱Ra的电阻值,使得电压表的指针指向3.0V(即指针满偏),记下此时电阻箱Ra的阻值,记作:R1。
④增大电阻箱Ra的阻值,使得电压表的指针指向1.5V(即指针半偏),记下此时电阻箱Ra的电阻值,记作:R2。
该电压表内阻的最终计算式为:RV=R2-2R1。


本题解析:略


本题难度:一般




首页 上页 2 3 4 下页 尾页 3/10/10
微信搜索关注"91考试网"公众号,领30元,获取公务员事业编教师考试资料40G
【省市县地区导航】【考试题库导航】
 ★ 高考省级导航 ★ 
全国 A安徽 B北京 C重庆 F福建 G广东 广西 甘肃 贵州 H河南 河北 湖南 湖北 黑龙江 海南 J江苏 江西 吉林 L辽宁 N内蒙古 宁夏 Q青海 S山东 山西 陕西 四川 上海 T天津 X新疆 西藏 Y云南 Z浙江
 ★ 高考信息汇总 ★ 
 ★ 高考历年真题 ★ 
 ★ 高考历年真题 ★ 
 ★ 高考题库 ★ 
 ★ 高考题库 ★ 

电脑版  |  手机版  |  返回顶部