时间:2017-11-10 07:40:43
1、计算题  如图所示为水平导轨,A、B为弹性竖直挡板,相距L=4m。小球自A板处开始,以v0=4 m/s的速度沿导轨向B运动。它与A、B挡板碰撞后均以与碰前大小相等的速率反弹回来,且在导轨上做减速运动的加速度大小不变。为使小球停在AB的中点,这个加速度的大小应为多少? 

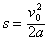
参考答案:解:由于小球与挡板碰后速率不变,运动中加速度大小不变,因此小球在挡板间往复的运动可用一单向的匀减速运动等效替代。要使小球停在AB的中点,它运动的路程应满足s= L(n=0、1、2、...)
L(n=0、1、2、...)
其中 ,所以
,所以 m/s2(n=0、1、2、...)
m/s2(n=0、1、2、...)
本题解析:
本题难度:一般
2、计算题  飞机着陆后以6m/s2的加速度匀减速运动,若着陆时的速度为120m/s.
试求:(1)飞机着陆后15s末时的速度
(2)飞机着陆后25s内的位移
参考答案:(1)30m/s(2)1200m
本题解析:设飞机着陆后t1=15s末时的速度为 ,着陆后t2=25s内的位移为S
,着陆后t2=25s内的位移为S
由题可知,飞机初速度为 ,加速度为
,加速度为
所以飞机停下来所需时间
(1)由上可得: 
 
(2)由题可得,飞机在第20s末已经停止下来
所以
考点:考查了匀变速直线运动规律
点评:匀变速直线运动模块的规律公式很多,在做题的时候需要根据题中信息选择恰当的公式分析
本题难度:一般
3、简答题  
(1)此高速公路上汽车间的距离s至少应为多少?
(2)为了交通安全,请你为司机朋友题写两条警示语?
参考答案:(1)155m(2)请不要酒后驾车!请不要超速行驶
本题解析:(1)汽车在反应时间内做匀速直线运动的位移为: ?(2分)
?(2分)
汽车刹车后做匀减速直线运动的位移为: ?(2分)
?(2分)
所以此高速公路汽车的最小距离应为: ?(2分)
?(2分)
(2)请不要酒后驾车!请不要超速行驶!
本题难度:简单
4、选择题  甲、乙两质点在同一直线上做匀加速直线运动的v-t图象,如图所示,在3s末两质点在途中相遇,两质点位置关系是(  )
A.相遇前甲、乙两质点的最远距离为2m
B.相遇前甲、乙两质点的最远距离为3m
C.两质点出发点间的距离是乙在甲之前4m
D.两质点出发点间的距离是甲在乙之前4m
参考答案:D
本题解析:
本题难度:一般
5、计算题  如图甲所示,水平光滑的桌面上静止放置一条长为l=1.6m的纸带,纸带上正中间位置放置有一质量为m=1.0kg的小铁块,纸带的左边恰好在桌面的左边缘,小铁块与纸带间的动摩擦因数为 =0.1。现让纸带从t=0s时刻开始一直保持v=1m/s的速度向左匀速运动。已知桌面高度为H=0.8 m,g=10m/s2,小铁块在运动过程中不翻滚,不计空气阻力.求:
=0.1。现让纸带从t=0s时刻开始一直保持v=1m/s的速度向左匀速运动。已知桌面高度为H=0.8 m,g=10m/s2,小铁块在运动过程中不翻滚,不计空气阻力.求:
(1)小铁块从开始运动到桌面边缘过程所经历的时间并在乙图画出此过程中小铁块的v-t图象;
(2)小铁块抛出后落地点到抛出点的水平距离;
(3)小铁块从开始运动到桌面边缘过程中产生的内能。

参考答案:解:(1)小铁块开始做匀加速运动,由μmg=ma,得:a=1 m/s2
速度达到纸带v=1m/s的速度所用时间t1= ,得:t1=1s
,得:t1=1s
若小铁块1s内一直做匀加速运动,运动的位移为s1= at2,得:s1=0.5m<
at2,得:s1=0.5m<
由以上可知:小铁块先做匀加速运动,后以v=1m/s的速度做匀速运动,匀速运动所用时间t2= =0.3s
=0.3s
小铁块从开始运动到桌面边缘过程所经历的时间
图象如图所示:
(2)水平方向:s=vt0?
竖直方向:H= ?
 ? 
得:s=0.4m? 
(3)纸带在1s内一直做匀速运动,运动的位移为s2=vt1,得:s2=1m
小铁块与纸带间的相对位移为:△s= s2-s1=0.5m
由功能关系可知:Q=μmg△s,得:Q=0.5J
本题解析:
本题难度:困难