时间:2017-11-10 07:36:54
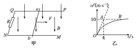
1、计算题 如图甲所示,空间存在B="0.5" T?方向竖直向下的匀强磁场,MN?PQ是放在同一水平面内的平行长直导轨,其间距L="0.2" m,R是连在导轨一端的电阻,ab是跨接在导轨上质量m="0.1" kg的导体棒.从零时刻开始,对ab施加一个大小为F="0.45" N?方向水平向右的恒定拉力,使其从静止开始沿导轨运动,此过程中棒始终保持与导轨垂直且良好接触,图乙是棒的速度—时间关系图象,其中AO是图象在O点的切线,AB是图象的渐近线.
(1)除R以外,其余部分的电阻均不计,求R的阻值;
(2)当棒的位移为100 m时,其速度已经达到10 m/s,求此过程中电阻上产生的热量.
2、计算题 一个线圈有100匝、面积为0.01m2,线圈的内电阻为0.5Ω,线圈两端接一个9.5Ω的电阻。线圈在0.02S的时间内从磁感应强度均为0.4T的磁铁两极间移出,
求:(1)线圈的感应电动势多大?
(2)电路中产生的电流多大?
(3)线圈两端的电压多大?
3、选择题 线圈在长直导线电流的磁场中,做如图的运动:A向右平动,B向下平动,C绕轴转动(ad边向外),D从纸面向纸外作平动,E向上平动(E线圈有个缺口),线圈中有感应电流的是_____(填代号)
4、选择题 如图所示,乙线圈和甲线圈互相绝缘,且乙线圈有一半面积在甲线圈内,当甲线圈中的电流逐渐减弱时,乙线圈中的感应电流?
A.为零
B.顺时针流动
C.逆时针流动
D.无法确定
5、简答题 高频焊接是一种常用的焊接方法,图1是焊接的原理示意图.将半径为r=10cm的待焊接的环形金属工件放在线圈中,然后在线圈中通以高频变化电流,线圈产生垂直于工件所在平面的匀强磁场,磁感应强度B随时间t的变化规律如图2所示,t=0时刻磁场方向垂直线圈所在平面向外.工件非焊接部分单位长度上的电阻R0=1.0×10-3Ω?m-1,焊缝处的接触电阻为工件非焊接部分电阻的9倍,焊接的缝宽非常小,不计温度变化对电阻的影响.
(1)求环形金属工件中感应电流的大小,在图3中画出感应电流随时间变化的i-t图象(以逆时针方向电流为正);
1000
3 |