时间:2017-11-05 17:48:16
1、选择题 一质量为m的木块静止在光滑的水平面上,从t=0开始,将一个大小为F的水平恒力作用在该木块上,下列说法正确的是
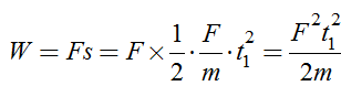
A.木块在经历时间t1的过程中,水平恒力F做的功为
t1
B.木块经历时间t1,在t1时刻力F的瞬时功率为
t12
C.木块经历时间t1,在t1时刻力F的瞬时功率为
t1
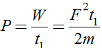
D.木块在经历时间t1的过程中,水平恒力F做的功的功率为
t12
参考答案:C
本题解析:木块在经历时间t1的过程中,水平恒力F做的功为:
,选项A错误;木块在经历时间t1的过程中,水平恒力F做的功的功率为
,选项D错误;t1时刻的速度为
,所以t1时刻F的功率为
,选项C正确,D错误;故选C.
考点:功和功率;牛顿第二定律的应用.
本题难度:一般
2、选择题 大小相等的水平拉力分别作用于原来静止
参考答案:
本题解析:
本题难度:一般
3、选择题 如图所示,长为L的长木板水平放置,在木板的A端放置一个质量为m的小物块,现缓慢地抬高A端,使木板以左端为轴转动,当木板转到与水平面的夹角为α时小物块开始滑动,此时停止转动木板,小物块滑到底端的速度为V,在整个过程中( )
A.木板对小物块做的功
B.支持力对小物块做的功为零
C.小物块的机械能的增量为
D.滑动摩擦力对小物块做的功
参考答案:AD
本题解析:在运动过程中,小物块受重力、木板施加的支持力和摩擦力,整个过程重力不做功,应用动能定理:W木=
①,A正确;物块在缓慢提高过程中摩擦力不做功,由动能定理可得:W支-mgLsinα=0-0 ②,则有W支=mgLsinα.故B错误;由功能关系,机械能的增量为木板对小物块做的功,C错误。联立①②式得滑动摩擦力对小物块做的功
,D正确;
考点:本题考查功、动能定理、功能关系。
本题难度:一般
4、计算题 如图甲所示,电荷量为q=1×10-4C的带正电的小物块置于绝缘水平面上,所在空间存在方向沿水平向右的电场,电场强度E的大小与时间的关系如图乙所示,物块运动速度与时间t的关系如图丙所示,取重力加速度g=10m/s2。求
(1)前2秒内物体加速度的大小;
(2)前4秒内物体的位移 ;
(3)前4秒内电场力做的功。
参考答案:(1)
(2)6m (3) 
本题解析:(1)速度时间图像的斜率表示加速度,由图丙可得前两秒
(2)由图丙可知物体先做匀加速运动,然后做匀速运动
匀加速运动阶段
匀速阶段
所以前4秒内物体的位移
(3)由图乙可知前2秒
后两秒
所以
考点:匀变速直线运动 电场力做功
本题难度:一般
5、选择题 如图,在匀速转动的电动机带动下,足够长的水平传送带以恒定速率v1匀速向右运动。一质量为m的滑块从传送带右端以水平向左的速率v2(v2 > v1)滑上传送带,最终滑块又返回至传送带的右端。就上述过程,下列判断正确的有
A.滑块返回传送带右端的速率为v1
B.此过程中传送带对滑块做功为
C.此过程中电动机对传送带做功为2mv
D.此过程中滑块与传送带间摩擦产生的热量为
参考答案:AD
本题解析:A:由于传送带足够长,物体减速向左滑行,直到速度减为零,然后物体会在滑动摩擦力的作用下向右加速,由于v1<v2,物体会先在滑动摩擦力的作用下加速,当速度增大到等于传送带速度时,物体还在传送带上,之后不受摩擦力,故物体与传送带一起向右匀速运动,有v′2=v1;故A正确;
B:此过程中只有传送带对滑块做功根据动能定理W′=△EK得:W′=△EK=
,故B错误;
D:设滑块向左运动的时间t1,位移为x1,则:
摩擦力对滑块做功:
①
又摩擦力做功等于滑块动能的减小,即:
②
该过程中传送带的位移:x2=v1t1
摩擦力对滑块做功:W2=f?x2=f?v1t1=
③
将①②代人③得:W2=mv1v2
设滑块向左运动的时间t2,位移为x3,则:
摩擦力对滑块做功:
该过程中传送带的位移:x4=v1t2=2x3
滑块相对传送带的总位移:x相=x1+x2+x4-x3=x1+x2+x3
滑动摩擦力对系统做功:W总=f?x相=W1+W2+W3=
滑块与传送带间摩擦产生的热量大小等于通过滑动摩擦力对系统做功,Q=W总=f?x相=
,故D正确;
C:全过程中,电动机对皮带做的功与滑块动能的减小量等于滑块与传送带间摩擦产生的热量,即
整理得:
,故C错误.
故选:AD
考点:动能定理;能量守恒定律;牛顿定律的应用.
本题难度:困难