高考物理知识点总结《弹力》高频考点特训(2017年练习版)(六)

时间:2017-11-05 17:32:37

微信搜索关注"91考试网"公众号,领30元,获取事业编教师公务员等考试资料40G

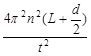
1、实验题  (1)(4分)在“利用单摆测重力加速度”的实验中,测得单摆的摆角小于5°,完成n次全振动的时间为t,用毫米刻度尺测得的摆线长为L,用五十分度的游标卡尺测得摆球的直径d

?


?
①用上述物理量的符号写出求重力加速度的一般表达式g=________。
②从上图可知,摆球直径d的读数(分尺标度为5与主尺某一刻度线对齐)为_________________cm。

(2) (5分)将倾角为θ的光滑绝缘斜面放置在一个足够大的匀强磁场中,磁场方向垂直纸面向里,磁感应强度为B,一个质量为m、带电量为q的小物体在斜面上由静止开始下滑(设斜面足够长)如图8-12所示,滑到某一位置开始离开,求:
①物体带电荷性质________
②物体离开斜面时的速度及物体在斜面上滑行的长度是________


参考答案:(1) ①?②1.750cm(2)负电 L = m2gcos2θ/2q2B2sinθ


本题解析:本题考查单摆测重力加速度,游标卡尺的读数方法
(1)①单摆完成n次全振动的时间为t,则其周期为;摆线长为,则由单摆的周期公式,整理得
②五十分度的游标卡尺,每个小分度的实际数值为,主尺上整刻度为,分尺标度为5与主尺某一刻度线对齐,由游标卡尺的读数规则有小球的直径为.
(2) ①电荷磁场中向下运动,将会受到洛仑兹力的作用,其离开斜面,表明受到的是垂直于斜面向上的力的作用,由左手定则知小所带的电荷为负电.
②当离开斜面时,所受到的洛仑兹力垂直于斜面向上,大小等于斜面对小球的弹力,即,则
设小球在斜面上滑行的长度为,重力对小球作功等于小球动能的增加,则有
解得


本题难度:简单



2、实验题  某同学用如图所示的装置做验证动量守恒定律的实验,先将球a从斜槽轨道上某固定点处由静止开始滚下,在水平地面上的记录纸上留下压痕,重复10次,再把同样大小的球b放在斜槽轨道末端水平段的最右端附近静止,让球a仍从原固定点由静止开始滚下,且与球b相碰后,两球分别落在记录纸的不同位置处,重复10次.

(1)本实验必须测量的物理量是_________.
A.斜槽轨道末端到水平地面的高度H
B.小球ab的质量mamb
C.小球ab的半径r
D.小球ab离开斜槽轨道末端后做平抛运动的飞行时间t
E.记录纸上O点到ABC各点的距离OAOBOC
F.球a的固定释放点到斜槽轨道末端水平部分间的高度差h
(2)小球ab的质量mamb应该满足的关系是________(填>、<或=)
(3)放上被碰小球后,两个球碰后小球ab的落地点依次是水平面上的点______和点____.
(4)为测定未放被碰小球时,小球a落点的平均位置,把刻度尺的零刻度线跟记录纸上的O点对齐,图中给出了小球a落点附近的情况,由图可得点OB间的距离应为________cm.

(5)按照本实验方法,验证动量守恒的验证式是_____? _____.


参考答案:(1)BE(2分,选对一个给1分) (2)ma>mb(2分)
(3)A,C(每空2分)
(4)45.90cm (2分,答数在45.85~45.95范围内的都给分。)
(5)ma=ma+mb·(2分)


本题解析:略


本题难度:简单



3、选择题  物块A1、A2、B1和B2的质量均为m,A1、A2用刚性轻杆连接,B1、B2用轻质弹簧连接.两个装置都放在水平的支托物上,处于平衡状态,如图所示.今突然迅速地撤去支托物,让物块下落.在除去支托物的瞬间,A1、A2受到的合力分别为f1和f2,B1、B2受到的合力分别为F1和F2.则(  )
A.f1=0,f2=2mg,F1=0,F2=2mg
B.f1=mg,f2=mg,F1=0,F2=2mg
C.f1=0,f2=2mg,F1=mg,F2=mg
D.f1=mg,f2=mg,F1=mg,F2=mg
91考试网


参考答案:B


本题解析:


本题难度:简单



4、选择题  一斜劈静止于粗糙的水平地面上,在其斜面上放一滑块m,若给m一向下的初速度v0,则m正好保持匀速下滑。如图所示,现在m下滑的过程中再加一个作用力,则以下说法正确的是

A.在m上加一竖直向下的力F1,则m将保持匀速运动,M对地有水平向右的静摩擦力的作用
B.在m上加一个沿斜面向下的力F2,则m将做加速运动,M对地有水平向左的静摩擦力的作用
C.在m上加一个水平向右的力F3,则m将做减速运动,在m停止前M对地有向右的静摩擦力的作用
D.无论在m上加什么方向的力,在m停止前M对地都无静摩擦力的作用


参考答案:D


本题解析:

甲?乙假设斜劈角度为,由于m匀速下滑,对m进行受力分析如图甲所示,可以知道,mgsin= μmgcos, μ=tan。斜劈受到的力有,重力,支持力,m对它的压力,还有m对它的摩擦力,由于竖直方向平衡,只用分析水平方向投影 即左边,又因为,牛顿第三定律知大小相等方向相反,所以,此时地面对斜面无摩擦力的作用,如图乙所示。当在m上加一竖直向下的力F1,都同比例的增大,即,物体m仍处于平衡状态,M对地仍无摩擦力的作用,A选项错误;在m上加一个沿斜面向下的力F2,则m将做加速运动,由m的垂直斜面方向依然平衡,所以不变,故也不变,所以M对地仍无摩擦力的作用,B选项错误;同理在m上加一个水平向右的力F3,则m将做减速运动,但又同比例增大,M对地仍无摩擦力的作用,C选项错误;综上所述,无论在m上加什么方向的力,在m停止前总有,μ=tan,所以M对地都无静摩擦力的作用,D选项正确。此题学生分析比较困难,建议画出受力分析的图示,帮助学生建立直观的情景。


本题难度:一般



5、实验题  一打点计时器固定在斜面上某处,一小车拖着穿过打点计时器的纸带从斜面上滑下,如图(a)所示,用米尺测量斜面的高度与长度之比为,小车质量为400g,图(b)是打出纸带的一段,相邻计数点间还有四个点未画出,已知打点计时器使用的交流电频率为50Hz,由图可知,打点计时器打纸带上B点时小车的瞬时速度_______m/s,打纸带上E点时小车的瞬时速度_________m/s,打点计时器打纸带上B点和打纸带上E点过程中小车克服阻力所做的功为__________J.(g取10m/s2,保留两位有效数字)


参考答案:? 0.15?(3分)?? 0.33?(3分)?? 5.5×10-2(4分)


本题解析:略


本题难度:一般




首页 上页 5 6 7 下页 尾页 6/10/10
微信搜索关注"91考试网"公众号,领30元,获取公务员事业编教师考试资料40G
【省市县地区导航】【考试题库导航】
 ★ 高考省级导航 ★ 
全国 A安徽 B北京 C重庆 F福建 G广东 广西 甘肃 贵州 H河南 河北 湖南 湖北 黑龙江 海南 J江苏 江西 吉林 L辽宁 N内蒙古 宁夏 Q青海 S山东 山西 陕西 四川 上海 T天津 X新疆 西藏 Y云南 Z浙江
 ★ 高考信息汇总 ★ 
 ★ 高考历年真题 ★ 
 ★ 高考历年真题 ★ 
 ★ 高考题库 ★ 
 ★ 高考题库 ★ 

电脑版  |  手机版  |  返回顶部