高考物理知识点总结《弹力》高频试题特训(2017年最新版)(十)

时间:2017-11-05 17:24:25

微信搜索关注"91考试网"公众号,领30元,获取事业编教师公务员等考试资料40G

1、选择题  如图所示,沿平直轨道运动的车厢中的光滑水平桌面上用弹簧拴着一个小球,弹簧处于自然长度.当旅客看到弹簧的长度变短时,对火车的运动状态判断可能正确的是(  )
A.火车向右运动,速度在增加中
B.火车向右运动,速度在减小中
C.火车向左运动,速度在增加中
D.火车向左运动,速度在减小中
91考试网


参考答案:AD


本题解析:


本题难度:简单



2、填空题  如图所示,,弹簧的劲度系数为500N/m,不计绳重和摩擦,则物体A对支持面的压力为? N,弹簧的伸长量为? cm。


参考答案:60,8


本题解析:


本题难度:一般



3、实验题  下图是某监测系统每隔2.5 s拍摄的,关于火箭发射起始阶段做匀加速运动的一组照片.已知火箭的长度为40 m,用刻度尺测量照片上的长度关系,结果如图所示.则可求出火箭的加速度大小a =?m/s2,火箭在照片中第2个像所对应时刻的瞬时速度大小u =?m/s.


参考答案:8? 42


本题解析:根据火箭的长度为40m,按比例确定出火箭第1个像与第2个像间的位移大小x1=80m,火箭第2个像与第3个像间的位移大小x2=130m,由△x=aT2,得,第2个像所对应时刻的瞬时速度大小等于第1个像与第3个像间的平均速度,则
点评:本题难度较小,熟练掌握匀变速直线运动规律是关键


本题难度:一般



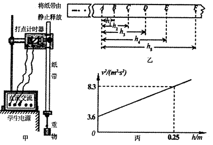
4、实验题  (12分)某同学利用如图甲所示的实验装置测量重力加速度。

①请指出该同学在实验操作中存在的两处错误:
a____________________________________________;
b____________________________________________。
②该同学经正确操作得到如图乙所示的纸带,取连续的六个点,测得h1、h2、h3、h4、h5.若打点的周期为T,则打E点时速度为vE =___________;若分别计算出各计数点对应的速度数值,并在坐标系中画出v2与h的关系图线,如图丙所示,则重力加速度g=_________m/s2.


参考答案:①打点计时器应该接交流电源(3分);开始时重物应该靠近打点计时器(3分)(其他说明若正确也给分);②(3分);9.4(3分)


本题解析:(1)打点计时器使用交流电源,而此题中使用的是直流电源;重物离打点计时器太远,这样会导致纸带上所打点很少,不利于减小误差;(2)匀变速直线运动中某段时间内的平均速度等于中间时刻的瞬时速度,故打下E点时的速度为;根据,故可知在题目中的图像斜率表示2g,所以有,则解得重力加速度


本题难度:一般



5、实验题  (8分)“验证力的平行四边形定则”的实验情况如图甲所示,其中A为固定橡皮筋的图钉,O为橡皮筋与细绳的结点,OB和OC为细绳。图乙是在白纸上根据实验结果画出的图。
(1)图乙中的?是力F1和F2的合力的理论值;?是力F1和F2的合力的实际测量值。(选填 “F ”或“”)。

(2)在实验中,如果将细绳也换成橡皮筋,那么实验结果是否会发生变化?答:?(选填 “变”或“不变”)。
(3)本实验采用的科学方法是?
A.理想实验法
B.等效替代法
C.控制变量法
D.建立物理模型法


参考答案:(1)F;;(2)不变;(3)B。


本题解析:(1)力F1和F2的合力的理论值就是利用平行四边形方法画出的对角线的长,即为F;那么F′就是合力的实际测量值;
(2)如果将细绳也换成橡皮筋,则细绳上的力会使橡皮筋伸长,但对于橡皮筋AO受到的力却是不变的,故实验结果不会发生变化;
(3)本实验是将二个力的效果与一个力的效果相同做对比而得出的合力概念,故采用的是等效替代的方法,B是正确的。


本题难度:简单




首页 上页 9 10 下页 尾页 10/10/10
微信搜索关注"91考试网"公众号,领30元,获取公务员事业编教师考试资料40G
【省市县地区导航】【考试题库导航】
 ★ 高考省级导航 ★ 
全国 A安徽 B北京 C重庆 F福建 G广东 广西 甘肃 贵州 H河南 河北 湖南 湖北 黑龙江 海南 J江苏 江西 吉林 L辽宁 N内蒙古 宁夏 Q青海 S山东 山西 陕西 四川 上海 T天津 X新疆 西藏 Y云南 Z浙江
 ★ 高考信息汇总 ★ 
 ★ 高考历年真题 ★ 
 ★ 高考历年真题 ★ 
 ★ 高考题库 ★ 
 ★ 高考题库 ★ 

电脑版  |  手机版  |  返回顶部