时间:2017-11-05 16:36:02
1、选择题 如图所示,水平导线中有电流I通过,导线正下方的电子初速度的方向与电流I的方向相同,则电子将( )
A.沿路径a运动,轨迹是圆
B.沿路径a运动,轨迹半径越来越大
C.沿路径a运动,轨迹半径越来越小
D.沿路径b运动,轨迹半径越来越小
参考答案:由右手螺旋定则可知,在直导线的下方的磁场的方向为垂直纸面向外,根据左手定则可以得知电子受到的力向下,所以电子沿路径a运动;
通电直导线电流产生的磁场是以直导线为中心向四周发散的,离导线越远,电流产生的磁场的磁感应强度越小,由半径公式r=mvqB可知,电子的运动的轨迹半径越来越大,所以B正确.
故选B.
本题解析:
本题难度:一般
2、计算题 在匀强磁场中,一静止的放射性原子核A发生衰变时,恰拍得一张如图所示的两个外切的圆径迹的照片.?
(1)分析原子核A衰变的类型.说明衰变中放出的粒子C与产生的新原子核D分别沿哪条径迹运动.?
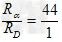
(2)若测得图中两个圆形径迹的半径之比为44:1,试求出原子核A中的质子数.?
(3)若原子核A的质量数为232,试求出衰变中放出的粒子C与产生的新原子核D的动能之比.
参考答案:解:(1)静止的原子核A发生衰变时,系统的总动量守恒,
由此可知放出的粒子C与产生的新原子核D的动量大小相等.
设粒子C的质量为mC,速率为vC,新原子核D的质量为mD,速率为vD,
则有mCvC=mDvD?①?
若粒子C与新原子核D的速度方向与磁场方向垂直,
洛伦兹力提供了它们在匀强磁场中做匀速圆周运动的向心力,
根据洛伦兹力公式和向心力公式,
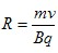
带电粒子在匀强磁场中做匀速圆周运动的轨道半径为
? ②?
由①②两式可知,粒子C与新原子核D的轨道半径跟它们的电荷量成反比,
设粒子C的轨道半径为RC,电荷量为qC;
新原子核D的轨道半径为RD,电荷量为qD,
则有
? ③?
根据③式可知,电荷量较小的粒子C沿半径大的圆形径迹运动,电荷量较大的新原子核D沿半径小的圆形径迹运动.?
设磁场方向垂直纸面向外,若原子核A发生的是α衰变,放出的粒子C为α粒子,α粒子与新原子核D在匀强磁场中做匀速圆周运动的情形如左图所示;若原子核A发生的是β衰变,放出的粒子C为电子,电子与新原子核D在匀强磁场中做匀速圆周运动的情景如图所示,若磁场方向垂直纸面向里,发生α衰变时类似左图所示,发生β衰变时类似右图所示。?
?
综合上面的分析可知,原子核A发生的是α衰变,放出的α粒子沿半径大的圆形径迹运动,产生的新原子核D沿半径小的圆形径迹运动.?
(2)设原子核A的电荷数为Z,根据α衰变的法则,新原子核D的电荷数为Z-2,其电荷量qD=(Z-2)e,α粒子的电荷量qα=2e,
由③式得
,
依题意有
,解得Z= 90.?
根据原子核中的质子数等于它的电荷数可知,原子核A中有90个质子.?
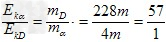
(3)设中子与质子的质量均为m,根据α衰变的法则,新原子核D的质量数为232 -4= 228,其质量mD= 228m,α粒子的质量mα=4m,
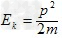
根据动能与动量大小的关系式
和①式可知,
α粒子与新原子核D的动能之比为
本题解析:
本题难度:困难
3、简答题
(1)粒子进入磁场B2时的速度v;
(2)打在a、b两点的粒子的质量之差△m。
参考答案:(1)
(2)△m=m1-m2=
本题解析:(1)两极板间电场强度
?
粒子在电容器中做直线运动,故
?
解得
?
(2)带电粒子在匀强磁场B2中做匀速圆周运动,
则
?
打在a处的粒子的轨道半径
?
打在b处的粒子的轨道半径
?
又△x=2R1-2R2?
联立③⑤⑥⑦得△m=m1-m2=
本题难度:一般
4、选择题 处于匀强磁场中的一个带电粒子,仅在磁场力作用下做匀速圆周运动。将该粒子的运动等效为环形电流,那么此电流值
A.与粒子电荷量成正比
B.与粒子速率成正比
C.与粒子质量成正比
D.与磁感应强度成正比
参考答案:D
本题解析:设带电粒子在匀强磁场中做匀速圆周运动的周期为T,半径为r,则
由
,得
,
,环形电流:
,可见,I与q的平方成正比,与v无关,与B成正比,与m成反比.
故选D.
考点:带电粒子在匀强磁场中的运动;电流强度.
本题难度:一般
5、计算题 (20分)如图,直线MN 上方有平行于纸面且与MN成45。的有界匀强电场,电场强度大小未知;MN下方为方向垂直于纸面向里的有界匀强磁场,磁感应强度大小为B。今从MN_上的O点向磁场中射入一个速度大小为v、方向与MN成45角的带正电粒子,该粒子在磁场中运动时的轨道半径为R。若该粒子从O点出发记为第一次经过直线MN,而第五次经过直线MN时恰好又通过O点。不计粒子的重力。求:
(1)电场强度的大小;
(2)该粒子从O点出发,第五次经过直线MN时又通过O点的时间;
(3)该粒子再次从O点进入磁场后,运动轨道的半径。
参考答案:(1)电场强度的大小是vB;(2)该粒子从O点出发,第五次经过直线MN时又通过O点的时间为
;(3)该粒子再次从O点进入磁场后,运动轨道的半径是
R。
本题解析:粒子的运动轨迹如图,先是一段半径为R的1/4圆弧到a点,接着恰好逆电场线匀减速运动到b点速度为零再返回a点速度仍为v,再在磁场中运动一段3/4圆弧到c点,之后垂直电场线进入电场作类平抛运动。
(1)由图得
类平抛运动的垂直和平行电场方向的位移都为
①
所以类平抛运动时间为
②
又
③
再者
④
由①②③④可得
⑤
粒子在磁场中的总时间:
粒子在电场中减速再加速的时间:
故粒子再次回到O点的时间:
(3)由平抛运动得
所以
[或
]
则第五次过MN进入磁场后的圆弧半径R′=
=
R
考点:带电粒子在匀强磁场中及匀强电场中的运动
点评:考查带电粒子在电场和磁场中的运动问题,要能画出粒子运动轨迹,然后才能分析求解,还要熟悉平抛运动、匀速圆周运动及相关的数学的知识。
本题难度:困难