时间:2017-11-05 16:25:09
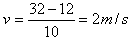
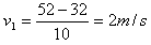
1、计算题 (10分)一物体正以6m/s的速度在水平地面上运动,现对物体施加与速度同向的大小恒为2m/s2的加速度,求:
(1)当物体的速度增大到12m/s时,经历的时间是多少?
(2)施加加速度后10s内物体的位移是多少?
参考答案:3s 160m
本题解析: (1)以初速度的方向为正方向,
由
得
(2)由
得
考点:本题考查匀变速直线运动的规律。
本题难度:一般
2、计算题 如图所示,长为L=8m、质量为M=4kg的长木板放置于光滑的水平面上,其左端有一个大小可忽略,质量为m=1kg的物块,物块与木板间的动摩擦因数为0.4,开始时物块与木板处于静止状态,物块的最大静摩擦力等于滑动摩擦力,取g=10m/s2;用外力固定木板,对物块施加方向水平向右的恒定拉力F=8N,使物块在木板上滑动起来,求:
(1)求物块在木板上滑行的加速度大小;
(2)物块从木板左端运动到右端经历的时间;
(3)若不用外力固定木板,对物块施加方向水平向右的恒定拉力F=2N,求物块和木板的加速度大小.
参考答案:(1)4m/s2(2)2s; (3)0.4m/s2
本题解析:(1)对木块根据牛顿第二定律可得:
,解得:a=4m/s2
(2)根据
,解得
(3)M只靠摩擦力作用产生的最大加速度为:
当力F=1N时,假设两者不产生滑动,则整体的加速度为
故两者相对静止,以共同的加速度0.4m/s2一起加速运动.
考点:牛顿第二定律的应用.
本题难度:一般
3、填空题 在一探究实验中,一个小球在一个斜面上由静止滚下,小球滚动的距离S和小球运动过程中经历的时间T之间的关系如表所示。由表中数据可以初步归纳出小球滚动的距离S和小球滚动的时间T的关系是?
| T(s) | 0.25 | 0.5 | 1.0 | 2.0 | … |
| S(cm) | 5.0 | 20 | 80 | 320 | … 参考答案: 本题解析:∵0.25秒时,距离为 本题难度:一般 4、计算题 某司机乙驾驶一辆卡车正以一定速度在平直公路上匀速行驶。经过图a所示的限速牌标志为40 km/h的位置时,突然发现离它25.5m处停着一辆正在维修的小轿车时,当该司机采取了紧急刹车措施,使卡车做匀减速直线运动,结果还是与小轿车发生碰撞。在处理事故时,交警甲用课本介绍的测定反应时间的方法对该司机乙进行了测试(如图b),发现他握住木尺时,木尺已经自由下降了20cm,试通过计算帮助交警分析卡车是否超速?(g取10m/s2)已知这种汽车急刹车时产生的加速度大小为5m/s2。 参考答案:解:已知a=-5m/s2,h=0.2m,设汽车经过限速牌时速度为V 本题解析: 本题难度:困难 5、计算题 在一次警车A追击劫匪车B时,两车同时由静止向同一方向加速行驶,经过30 s追上。两车各自的加速度为aA=15 m/s2,aB=10 m/s2,各车最高时速分别为vA=45 m/s,vB=40 m/s,问追上时两车各行驶多少路程?原来相距多远? 参考答案:解:如图所示,以A车的初始位置为坐标原点,Ax为正方向,设L为警车追上劫匪车所走过的全程,l为劫匪车走过的全程。则两车原来的间距为ΔL=L-l 本题解析: 本题难度:困难 |