时间:2017-11-05 16:18:39
1、其他 (1)氦原子被电离一个核外电子,形成类氢结构的氦离子。已知基态的氦离子能量为E1=-54.4eV,氦离子能级的示意图如图所示。在具有下列能量的光子中,不能被基态氦离子吸收的是______________;
A.60.3eV
B.51.0eV
C.43.2eV
D.54.4eV 
(2)一个静止的
,放出一个速度为2.22×107m/s的粒子,同时产生一个新核
,并释放出频率为ν=3×1019Hz的γ光子。写出这种核反应方程式______________,这个核反应中产生的新核的速度为______________,因γ辐射而引起的质量亏损为______________;(已知普朗克常量h=6.63×10-34J·s)
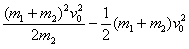
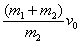
(3)如图,滑块A、B的质量分别为m1与m2,m1<m2,置于光滑水平面上,由轻质弹簧相连接,用一轻绳把两滑块拉至最近,弹簧处于最大压缩状态后绑紧,接着使两滑块一起以恒定的速度v0向右滑动。运动中某时刻轻绳突然断开,当弹簧恢复到其自然长度时,滑块A的速度正好为零。则:
①弹簧第一次恢复到自然长度时,滑块B的速度大小为______________;
②从轻绳断开到弹簧第一次恢复到自然长度的过程中,弹簧释放的弹性势能Ep=______________。 
参考答案:(1)C
(2)
,4×105m/s,2.21×10-31kg
(3)
,
本题解析:
本题难度:困难
2、选择题 氢原子能级的示意图如图所示,大量氢原子从n=4的能级向n=2的能级跃迁时辐射出可见光a,从n=3的能级向n=2的能级跃迁时辐射出可见光b,则
[? ]
A.氢原子从高能级向低能级跃迁时可能会辐射出γ射线
B.氢原子从n=4的能级向n=3的能级跃迁时会辐射出紫外线
C.在水中传播时,a光较b光的速度小
D.氢原子在n=2的能级时可吸收任意频率的光而发生电离
参考答案:C
本题解析:
本题难度:一般
3、选择题 在氢原子的能级示意图,一群氢原子处于n=3的激发态,在向较低能级跃迁的过程中向外发出光子,用这些光照射逸出功为2.49eV的金属钠,下列说法中正确的是( )
A.这群氢原子能发出三种频率不同的光,其中从n=3跃迁到n=2所发出的光的波长最短
B.这群氢原子能发出两种频率不同的光,其中从n=3跃迁到n=1所发出的光的频率最高
C.金属钠表面所发出的光电子的初动能最大值为9.60eV
D.这群氢原子能发出三种频率不同的光,其中从n=3跃迁到n=2所发出的光能使金属钠的表面发生光电效应
参考答案:A、B、一群氢原子处于n=3的激发态,可能发出C23=3种不同频率的光子,
n=3和n=2间能级差最小,所以从n=3跃迁到n=2发出的光子频率最低,根据玻尔理论hγ=E2-E1=hcλ可知,光的波长最长.
因为n=3和n=1间能级差最大,所以氢原子从n=3跃迁到n=1发出的光子频率最高.故A错误,B正确.
C、所以从n=3跃迁到n=1发出的光子频率最高,发出的光子能量为△E=13.60-1.51eV=12.09eV.
根据光电效应方程EKm=hv-W0得,最大初动能Ekm=12.09eV-2.49eV=9.60eV.故C正确,
D、当入射光频率大于金属钠的极限频率时,金属钠能发生光电效应,即入射光的能量大于钠的逸出功2.49eV时就能产生光电效应.根据能级图可知,从n=3跃迁到n=2 所发出的光能量为 E=-1.51eV-(-3.4)eV=1.89eV,可见,E<2.49eV,不能使金属钠的表面发生光电效应.
故D错误.
故选:BC.
本题解析:
本题难度:简单
4、选择题 图甲所示为氢原子的熊级,图乙为氢原子的光谱。已知谱线a是氢原子从n=4的能级跃迁到n=2能级时的辐射光,则谱线b是氢原子(?)
A.从n=3的能级跃迁到n=2的能级时的辐射光
B.从n=5的能级跃迁到n=2的能级时的辐射光
C.从n=4的能级跃迁到n=3的熊级时的辐射光
D.从n=5的能级跃迁到n=3的能级时的辐射光
参考答案:B
本题解析:根据能级跃迁公式h
=En—Em?
=
可知波长越小能量越大,所以b光能量大于a光能量,因此选B
本题难度:简单
5、选择题 氢原子发出a、b两种频率的光,经三棱镜折射后的光路如图所示,若a光是由能级n=5向n=2跃迁时发出时,则b光可能是( )
A.从能级n=4向n=3跃迁时发出的
B.从能级n=4向n=2跃迁时发出的
C.从能级n=6向n=3跃迁时发出的
D.从能级n=6向n=2跃迁时发出的
参考答案:A、由光路图知,b光的折射率大于a光的折射率,所以b光的光子能量大于a光的光子能量,a光是由能级n=5向n=2跃迁时发出的,从能级n=4向n=3跃迁时发出的光子能量小于a光光子能量.故A错误.
? B、从能级n=4向n=2跃迁时发出的光子能量大于a光光子能量.故B错误.
? C、从能级n=6向n=3跃迁时发出的光子能量小于a光光子能量.故C错误.
? D、从能级n=6向n=2跃迁时发出的光子能量大于a光光子能量.故D正确.
故选D.
本题解析:
本题难度:简单