时间:2017-11-05 16:15:10
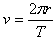
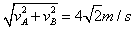
1、计算题 一质点做匀速圆周运动,其半径为2m,周期为3.14 s,如图所示,求质点从A点转过90°到达B点的速度变化量。

参考答案:解:由
,得
将初速度vA平移到B点,作出速度变化量△v,则△v=
,其方向斜向左下方,与vB方向成45°角
本题解析:
本题难度:一般
2、选择题 多选
有质量相同的甲、乙、丙三个物体,甲放在香港,乙放在上海,丙放在北京。它们各自均处于光滑水平地面上随地球一起自转,则( ? )
A.它们具有相同的线速度
B.由于它们的质量相同,所以各光滑水平面对它们的支持力大小相等
C.甲物体随地球自转所需向心力最大
D.丙物体随地球自转的向心加速度最小
参考答案:CD
本题解析:
本题难度:一般
3、选择题 关于角速度和线速度,下列说法正确的是:( ? )
A.半径一定时,角速度与线速度成反比?
B.半径一定时,角速度与线速度成正比
C.线速度一定时,角速度与半径成正比
D.角速度一定时,线速度与半径成反比
参考答案:B
本题解析:
本题难度:简单
4、选择题 一质点做匀速圆周运动时,圆的半径为r,周期为4 s,那么1 s内质点的位移大小和路程分别是 ( ).
A.r和
B.
和
C.
r和
r
D.
r和
参考答案:D
本题解析:质点在1 s内转过了
圈,画出运动过程的示意图可求出这段时间内的位移为
r,路程为
,所以选项D正确.
本题难度:简单
5、选择题 甲物体分别放在广州,乙物体放在北京,它们随地球一起转动时,下列说法正确的是( )
A.甲的线速度大,乙的角速度大
B.甲的线速度大,甲和乙的角速度相等
C.乙的线速度大,甲和乙的角速度相等
D.甲和乙的线速度相等,乙的角速度小
参考答案:甲、乙两个物体随地球一起转动时它们的周期相同,角速度相同,所以,A、D选项错误
由于甲的半径大于乙的半径,由线速度和角速度的关系v=ωr知甲的线速度大于乙的线速度,故选项B正确,C错误.
故选:B.
本题解析:
本题难度:简单