时间:2017-11-05 16:08:28
1、实验题 在下列给出的的器材中,选出“探究小车速度随时间变化的规律的实验”中所需的器材并填在横线上(填编号)。
A打点计时器 B天平 C低压交流电流电源 D低压直流电源 E细绳和纸带 F钩码和小车 G秒表 H一端有滑轮的长木板 I刻度尺
选出的器材是
参考答案:ACEFHI
本题解析:本实验是通过打出的点来确定运动时间,需要A,秒表不需要,由于本实验不需要测量质量,所以不需要天平,打点计时器所用电源为交流电源,C需要,D不需要,同时还需要EFHI,故选ACEFHI
考点:考查测定加速度的实验
点评:本题难度较小,掌握实验原理是关键
本题难度:简单
2、实验题 (1)利用重锤的自由下落和电磁打点计时器验证机械能守恒定律,下面哪些实验仪器是必需的? (填写仪器前的字母代号).
A.天平
B.4~6V的低压直流电源
C.4~6V的低压交流电源
D.停表 E.刻度尺
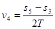
(2)在该实验中,选定了一条较为理想的纸带,如图所示,纸带的 端(选填“左”或“右”)与重物相连;重物由“0”点运动到“4”点,重力势能减少量的表达式为 ,动能增量的表达式为 (重锤质量为m,打点计时器的打点周期为T),实验结果发现动能增量总 (填“大于”、“等于”或“小于”)重力势能的减少量,主要的原因是 。 
参考答案:(1)CE
(2)左 mgs4 m(s5-s3)2/8T2 小于 存在空气阻力和纸带与打点计时器间的阻力等
本题解析:(1)利用重锤的自由下落和电磁打点计时器验证机械能守恒定律,下面的实验仪器是必需的:C.4~6V的低压交流电源,E.刻度尺。(2)由图可看出纸带的左端和重物相连,重物由“0”点运动到“4”点,重力势能减少量的表达式为mgs4 ,打4点的速度是
,动能增量的表达式为
=m(s5-s3)2/8T2。实验结果发现动能增量总小于重力势能的减少量,主要的原因是存在空气阻力和纸带与打点计时器间的阻力等。
考点:验证机械能守恒定律;纸带及数据的处理、误差分析。
本题难度:一般
3、实验题 某同学设计了一个探究加速度a与物体所受合力F及质量m关系的实验,图(a)为实验装置简图。(交流电的频率为50Hz)
(1)图(b)为某次实验得到的纸带,根据纸带可求出小车的加速度大小为 m/s2。(保留二位有效数字)
(2)保持砂和砂桶质量不变,改变小车质量m,分别得到小车加速度a与质量m及对应的
,数据如下表:
| 实验次数 | 1 | 2 | 3 | 4 | 5 | 6 | 7 | 8 |
| 小车加速度 a/m?s |
参考答案:
本题解析:
本题难度:一般
4、实验题 ⑴有一游标卡尺,主尺的最小分度为1mm,游标尺上有20个等分刻度,用该卡尺测长度时,可以准确到 mm,如图所示工件的长度为 mm.

⑵做匀加速直线运动的小车,牵引一条纸带通过打点计时器,交流电源的频率为50Hz,由纸带上打出的某一点开始,每5个点剪下一段纸带,按图所示,使每一条纸带下端与x轴重合,左边与y轴平行,将纸带段粘贴在直角坐标系中,则小车运动的加速度是 m/s2(保留两位有效数字)。
参考答案:⑴0.05 103.30 ⑵10
本题解析:略
本题难度:一般
5、实验题 (4分)某同学用游标卡尺测量一圆柱体的长度
,用螺旋测微器测量该圆柱体的直径
,示数如图。由图可读出
= cm,
= 

参考答案:2.25cm 6.860mm
本题解析:根据游标卡尺读数主尺为22mm,游标为5*0.1mm,因此读数为22.5mm,即2.25cm;同理螺旋测微器主尺6.5mm,游标36.0*0.01mm,所以读数为6.860mm
考点:游标卡尺的读法、螺旋测微器读法
点评:此类题型考察了基本测量工具的使用方法
本题难度:一般