时间:2017-09-26 11:39:48
1、选择题 如图,实线表示一匀强电场的电场线,一个带正电荷的粒子射入该电场,虚线是它的运动轨迹,a、b是轨迹上的两点,不计重力,则( )
A.场强方向向左
B.粒子一定是从a点运动到b点
C.a点电势比b点电势高
D.粒子在a点的电势能大于在b点的电势能
参考答案:ACD
本题解析:
本题难度:一般
2、选择题 图示为静电除尘器除尘机理的示意图。尘埃在电场中通过某种机制带电,在电场力的作用下向集尘极迁移并沉积,以达到除尘目的。下列表述正确的是

[? ]
参考答案:BD
本题解析:
本题难度:一般
3、选择题 三个分别带有正电、负电和不带电的质量相同的颗粒,从水平放置的平行带电金属板左侧以相同速度V0垂直电场线方向射入匀强电场,分别落在带正电荷的下板上的a、b、c三点,如图所示,下面判断正确的是( )
A.落在a点的颗粒带正电,c点的带负电,b点的不带电
B.落在a、b、c点颗粒在电场中的加速度的关系是aa>ab>ac
C.三个颗粒在电场中运动的时间关系是ta>tb>tc
D.电场力对落在c点的颗粒做负功
参考答案:A、B、C根据题意,三小球在水平方向做匀速直线运动,则有x=v0t,v0相同,则水平位移x与运动时间t成正比,由图看出,水平位移的关系为xa<xb<xc,则运动时间关系为ta<tb<tc.竖直方向上三个粒子都做初速度为0的匀加速直线运动,到达下极板时,在竖直方向产生的位移y相等:y=12at2,则知加速度关系为 aa>ab>ac.由牛顿第二定律得知三个小球 的合力关系为? Fa>Fb>Fc.由于平行板间有竖直向上的电场,正电荷在电场中受到向上的电场力,向下的合力最小,向下的加速度最小,负电荷受到向下的电场力,向下的合力最大,向下的加速度最大,不带电的小球做平抛运动,加速度为重力加速度g,可知,落在a点的颗粒带负电,c点的带正电,b点的不带电.故AC错误,B正确.
D、由上分析得知,落在c点的颗粒带正电,电场力向上,则电场力对它做负功.故D正确.
故选BD
本题解析:
本题难度:一般
4、计算题 如图所示为一真空示波管的示意图,电子从灯丝K发出(初速度可忽略不计),经灯丝与A板间的电压U1加速,从A板中心孔沿中心线KO射出,然后进入两块平行金属板M、N形成的偏转电场中(偏转电场可视为匀强电场),电子进入M、N间电场时的速度与电场方向垂直,电子经过电场后打在荧光屏上的P 点。已知M、N两板间的电压为U2,两板间的距离为d,板长为L,电子的质量为m,电荷量为e,不计电子受到的重力及它们之间的相互作用力。
(1)求电子穿过A板时速度的大小;
(2)求电子从偏转电场射出时的侧移量;
(3)若要电子打在荧光屏上P点的上方,可采取哪些措施? 
参考答案:解:(1)设电子经电压Ul加速后的速度为v0,由动能定理得
解得:
(2)电子以速度v0进入偏转电场后,垂直于电场方向做匀速直线运动,沿电场方向做初速度为零的匀加速直线运动,设偏转电场的电场强度为E,电子在偏转电场巾运动的时间为t,加速度为a,电子离开偏转电场时的侧移量为y,由牛顿第二定律和运动学公式得
,
,
。
,
。
(3)减小加速度电压U1;增大偏转电压U2。
本题解析:
本题难度:困难
5、计算题 如图所示,在水平向左足够大的匀强电场中,一带电小球用绝缘轻绳悬于O点,平衡时小球位于A点,此时绳与竖直方向的夹角θ=53°,已知绳长L,B、C、D到O点的距离均为L,BD水平,OC竖直。
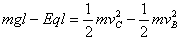
(1)将小球移到B点,给小球一竖直向下的初速度VB,小球到达悬点正下方时绳中拉力恰等于小球重力,求VB。
(2)将小球移到D点,给小球一斜向右上方的初速度VD,初速度VD的方向与水平方向的夹角为53°,球恰好能经过B点。求小球在D点时初速度VD的大小。(取sin53°=0.8) 
参考答案:解:(1)小球从B点运动到C点,由动能定理有:
①
在C点,设绳中张力为FC,则有
②
因FC=mg,故vC=0
又小球能平衡于A点,得
?④
∴
?⑤
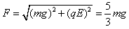
(2)小球在D点受力如图
合力
?⑥
?
∴
?⑦
则vD与F方向垂直,小球做类平抛运动,建立如图所示坐标系,则
x方向:
?⑧
y方向:
?⑨
由⑧⑨解得

本题解析:
本题难度:困难