高中物理高考知识点《弹力》高频试题巩固(2017年最新版)(三)

时间:2017-09-26 11:31:22

微信搜索关注"91考试网"公众号,领30元,获取事业编教师公务员等考试资料40G

1、简答题  某同学在用如图所示的装置探究弹簧弹力与伸长量的关系时,测得弹簧的长度与所挂钩码的个数如下表所示,请填出表中①②所缺项.(弹簧在弹性限度内,每个钩码质量相同)

?所挂钩码个数(个)弹簧长度(cm)
?0

?1
?4.0
?②
?5.0
91考试网


参考答案:右图看出,不挂勾码时,弹簧长度为3cm;
挂一个勾码时,弹簧长度为4cm,伸长1cm;
挂两个勾码时,拉力变为2倍,故伸长量变为2倍,即伸长2cm,长度为5cm;
故答案为:3.0,2.


本题解析:


本题难度:一般



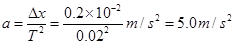
2、实验题  电火花打点计时器固定在斜面上某处,小车拖着穿过打点计时器的纸带从斜面上滑下,如甲图所示.

(1)电火花打点计时器,它使用?电源(填直流或交流),工作电压?V。
(2)打点计时器打A点时小车的速度VA=?m/s
(3)已知计时器使用的交流电频率为50Hz,用乙图给出的数据可求出小车下滑的加速度
a=________


参考答案:(1)交流 ;220V (2)0.55 m/s (3)5.0m/s2


本题解析:(1)电火花计时器使用交变电流,工作电压220V;
(2)小车做匀加速直线运动,平均速度等于中间时刻的瞬时速度,故
(3)根据推论公式,有


本题难度:简单



3、选择题  如图所示,轻质弹簧的劲度系数为K,小球质量
为m,平衡时小球在A处,今用力F压小球至B
处,使弹簧再缩短x,则此时弹簧的弹力为
A.mg
B.kx
C.mg+kx
D.mg–kx


参考答案:C


本题解析:平衡时小球在A处,弹簧弹力等于小球重力,再用力F压小球至B处,使弹簧再缩短x,弹簧上的力增加kx,所以答案选C。


本题难度:一般



4、实验题  在“用DIS研究机械能守恒定律”时,将如图1所示的实验装置中的光电门传感器接入数据采集器,实验中A、B、C、D四点高度分别为0.150m、0.100m、0.050m、0.000m,已由计算机默认,不必输入。
(1)(3分)某同学要测定摆锤在D点的机械能ED,将光电门安放在D点,点击“开始记录”,同时让摆锤在图1所示位置由静止释放,计算机将摆锤的速度自动记录在表格的对应处,如图2所示。由此测得的ED________(填“正确”“偏大”“偏小”),理由是_______________________________。

(2)(3分)实验获得的图象如图3所示。横轴表示摆锤距D点的高度h,纵轴表示摆锤的能量(重力势能Ep、动能Ek或机械能E),以下判断正确的是(?)?
(A)摆锤在A点速度不为零
(B)图象记录的最大重力势能约为1.53×10-2J
(C)乙图线与丙图线的纵坐标数值之和为一常数,表明机械能守恒
(D)甲图线表明摆锤摆动时只受重力的作用


参考答案:(1)(3分)偏小(1分), 已默认D点为零势点,其机械能等于最大动能,应在A点释放,现释放点低于A点,所以测得的ED偏小(2分)。
(2)(3分)A,C
由图象3可得甲为机械能E、乙为重力势能Ep、丙为动能Ek,摆锤在A点有动能,则速度不为零,A正确;图象记录的最大重力势能约为1.10×10-2J,B错误;乙图线与丙图线的纵坐标数值之和为一常数,表明机械能守恒,C正确;图线表明摆锤摆动时表示机械能守恒,并不表明只受重力的作用,D错误。


本题解析:(1)(3分)偏小(1分), 已默认D点为零势点,其机械能等于最大动能,应在A点释放,现释放点低于A点,所以测得的ED偏小(2分)。
(2)(3分)A,C
由图象3可得甲为机械能E、乙为重力势能Ep、丙为动能Ek,摆锤在A点有动能,则速度不为零,A正确;图象记录的最大重力势能约为1.10×10-2J,B错误;乙图线与丙图线的纵坐标数值之和为一常数,表明机械能守恒,C正确;图线表明摆锤摆动时表示机械能守恒,并不表明只受重力的作用,D错误。


本题难度:一般



5、实验题  在做“验证力的平行四边形定则”的实验中,为了使实验能够顺利进行,且尽量减小误差,你认为下列说法或做法能够达到上述目的的是_____。
A.使用测力计前应校对零点
B.用测力计拉细绳套时,拉力应沿弹簧的轴线,且与水平木板平行
C.两细绳套必须等长
D.用测力计拉细绳套时,拉力应适当大些,但不能超过测力计量程
E.橡皮筋应与两绳夹角的平分线在同一直线上
F. 实验中两次拉细绳套须使结点到达同一位置
G. .把橡皮筋的另一端拉到O点时,两把测力计之间夹角应取90°,以便算出合力大小


参考答案:ABDF


本题解析:
A.使用测力计前应校对零点,只是实验前必须的准备,因此A选项正确
B.用测力计拉细绳套时,拉力应沿弹簧的轴线,且与水平木板平行,这样做的目的是为了减少测量误差,因此B选项正确
C.两细绳套必须等长,这是没有必要的,因为绳长以拉力大小无关,因此答案C不选;
D.用测力计拉细绳套时,拉力应适当大些,但不能超过测力计量程,这是出于弹簧测力计本身的特点,当读数较大时,会使误差更小,因此答案D正确;
E.橡皮筋应与两绳夹角的平分线在同一直线上,本实验的目的是验证平行四边形定则,与合力是否在角分线上无关,因此答案E不选;
F.实验中两次拉细绳套须使结点到达同一位置,这是达到合分力效果相同的方法,因此答案F正确;
G.把橡皮筋的另一端拉到O点时,两把测力计之间夹角应取90°,以便算出合力大小
,这个实验的处理方法不是计算,而是通过作图验证,因此答案G不选。


本题难度:简单




首页 上页 2 3 4 下页 尾页 3/10/10
微信搜索关注"91考试网"公众号,领30元,获取公务员事业编教师考试资料40G
【省市县地区导航】【考试题库导航】
 ★ 高考省级导航 ★ 
全国 A安徽 B北京 C重庆 F福建 G广东 广西 甘肃 贵州 H河南 河北 湖南 湖北 黑龙江 海南 J江苏 江西 吉林 L辽宁 N内蒙古 宁夏 Q青海 S山东 山西 陕西 四川 上海 T天津 X新疆 西藏 Y云南 Z浙江
 ★ 高考信息汇总 ★ 
 ★ 高考历年真题 ★ 
 ★ 高考历年真题 ★ 
 ★ 高考题库 ★ 
 ★ 高考题库 ★ 

电脑版  |  手机版  |  返回顶部