时间:2017-09-26 11:21:38
1、选择题 如图所示,比荷为e/m的电子从左侧垂直于界面、垂直于磁场射入宽度为d、磁感受应强度为B的匀强磁场区域,要从右侧面穿出这个磁场区域,电子的速度至少应为
[? ]
A.2Bed/m
B.Bed/m
C.Bed/(2m)
D.
Bed/m
参考答案:B
本题解析:
本题难度:一般
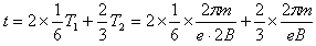
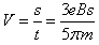
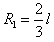
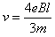
2、计算题 我国科学家在对放射性元素的研究中,进行如下实验:如图所示,以MN为界,左、右两边分别是磁感应强度为2B和B的匀强磁场,且磁场区域足够大。在距离界线为l处平行于MN固定一个长为s光滑的瓷管PQ,开始时一个放射性元素的原子核处在管口P处,某时刻该原子核平行于界线的方向放出一质量为m、带电荷量为-e的电子,发现电子在分界线处速度方向与界线成60°角进入右边磁场,反冲核在管内做匀速直线运动,当到达管另一端Q点时,刚好又俘获了这个电子而静止,求:
(1)电子在两磁场中运动的轨道半径大小(仅用l表示)和电子的速度大小;
(2)反冲核的质量。
参考答案:解:由题意知有两种可能轨迹,示意图分别如图甲、乙所示 
对于图甲所示情况:
(1)R1=l+R1sin 30°,则R1=2l
由
,
,得R2=2R1=4l,
(2)运行时间:

反冲核的速度
由动量守恒mv-MV=0,得反冲核的质量

[或将
代入得
]
对于图乙所示情况:
(1)由图乙可得l=R1+R1sin 30°,则
由
,得
,
(2)运行时间

反冲核的速度
由动量守恒mv-MV=0,得反冲核的质量

[或将
代入得
]
本题解析:
本题难度:困难
3、选择题 放射源发出的α粒子(氦原子核)经电压为U的加速电场加速后进入正交的匀强电场E和匀强磁场B中,电场方向向下,磁场方向向内,如图所示,发现离子向下偏转,要使离子沿直线通过磁场,可以
[? ]
A.增大电场强度E
B.增大磁感应强度B
C.增大加速电压U
D.减小加速电压U
参考答案:BC
本题解析:
本题难度:一般
4、选择题 圆形区域内有垂直于纸面的匀强磁场,三个质量和电荷量都相同的带电粒子a、b、c,以不同的速率沿着AO方向对准圆心O射入磁场,其运动轨迹如图所示。若带电粒子只受磁场力的作用,则下列说法正确的是 
[? ]
A.a粒子速率最大
B.c粒子速率最大
C.a粒子在磁场中运动的时间最长
D.它们做圆周运动的周期Ta<Tb<Tc
参考答案:BC
本题解析:
本题难度:一般
5、计算题 某平面上有一半径为R的圆形区域,区域内、外均有垂直于该平面的匀强磁场,圆外磁场范围足够大,已知两部分磁场方向相反,方向如图所示,磁感应强度都为B,现在圆形区域的边界上的A点有一个电量为q,质量为m的带正离子沿半径方向射入圆内磁场。求:
(1)若离子的速度大小为v1,求该离子在磁场中的轨道半径r;
(2)若离子与圆心O的连线旋转一周时,离子也恰好回到A点,试求该离子的运动速度v;
(3)在离子恰能回到A点的情况下,该离子回到A点所需的最短时间t。

参考答案:解:(1)由Bqv=mv2/r,得r=mv/qB ①
(2)如图,O1为粒子运动的第一段圆弧AB的圆心,O2为粒子运动的第二段圆弧BC的圆心,根据几何关系可知tanθ=r/R ② 
∠AOB=∠BOC=2θ
如果粒子回到A点,则必有n×2θ=2π,n=3,4,5 ③
由①②③可得v=
,n=3,4,5
(3)粒子做圆周运动的周期T=
因为粒子每次在圆形区域外运动的时间和圆形区域内运动的时间互补为一个周期T,所以粒子穿越圆形边界的次数越少,所需时间就越短,因此取n=3
其轨迹如图所示代入到③可得θ=

而粒子在圆形区域内运动的圆弧的圆心角为α=
故所求的粒子回到A点的最短运动时间t=T+
本题解析:
本题难度:困难