时间:2017-09-25 08:02:05
1、选择题 物体以初速度V0竖直上抛,重力加速度是g(不计空气阻力),则:t=
| V0 g |
参考答案:A、物体上升到最高点时速度为0,由0=v0-gt,得上升时间为t=v0g.故A正确.
B、C、D因不计空气阻力,物体只受重力,根据牛顿第二定律可知,物体的加速度始终等于g,方向竖直向下,即上升加速度等于下降加速度.而且上升过程与下落过程位移大小相等.由公式x=12at2可知,上升时间下落时间相等,故B、C、D错误.
故选A
本题解析:
本题难度:一般
2、选择题 以初速度v0竖直向上抛出一质量为m的小物块。假定物块所受的空气阻力f大小不变。已知重力加速度为g,则物块上升的最大高度和返回到原抛出点的速率分别为
A.
和
B.
和
C.
和
D.
和
参考答案:
A
本题解析:
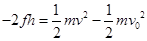
本题考查动能定理。上升的过程中,重力做负功,阻力
做负功,由动能定理得
,
,求返回抛出点的速度由全程使用动能定理重力做功为零,只有阻力做功为
,解得
,A正确。
本题难度:一般
3、填空题 某杂技演员把一小球竖直向上抛出,1s后小球落回到手中。则小球离开手时的速度为? m/s;小球上升的最大高度为? m。(g=10m/s2,不计空气阻力)
参考答案:5;1.25
本题解析:
本题难度:一般
4、填空题 在距地10m的高处以5m/s的速度竖直上抛一个物体,g="10" m/s2,则它到地面的最大高度为?m,出手后经?s物体落地。
参考答案:1.25m? 2s
本题解析:由上升最大高度Hm=v2/2g,得Hm=52/20=1.25m
由s=Vt-gt2/2,-10=5t-10t2 /2,t=2s
本题难度:简单
5、选择题 一杂技演员,用一只手抛球、接球,他每隔0.40s抛出一球,当第一个球到达最高点时紧接着抛出第二个小球,已知小球向上运动的加速度大小为10m/s2,将球的运动近似看作是竖直上抛运动,球到达的最大高度是(高度从抛球点算起) ( )
A.0.4m
B.0.8m
C.1.6m
D.3.2m
参考答案:B
本题解析:当第一个球到达最高点时紧接着抛出第二个小球,所以小球从抛出到最高点时间为
,竖直上抛运动和自由落体运动是胡为逆运动,所以小球上升最大高度为:
,故B正确。
考点:考查了竖直上抛运动
本题难度:一般