时间:2017-09-25 07:40:50
1、选择题 如图所示,在水平光滑地面上有A、B两个木块,A、B之间用一轻弹簧连接。A靠在墙壁上,用力F向左推B使两木块之间弹簧压缩并处于静止状态。若突然撤去力F,则下列说法中正确的是 
A.木块A离开墙壁前,A、B和弹簧组成的系统动量守恒,机械能也守恒
B.木块A离开墙壁前,A、B和弹簧组成的系统动量不守恒,但机械能守恒
C.木块A离开墙壁后,A、B和弹簧组成的系统动量守恒,机械能也守恒
D.木块A离开墙壁后,A、B和弹簧组成的系统动量不守恒,但机械能守恒
参考答案:BC
本题解析:若突然撤去力F,木块A离开墙壁前,墙壁对木块A有作用力,所以A、B和弹簧组成的系统动量不守恒,但由于A没有离开墙壁,墙壁对木块A没有做功,所以A、B和弹簧组成的系统机械能守恒,A选项错误,B选项正确;木块A离开墙壁后,A、B和弹簧组成的系统不受外力,所以系统动量守恒和能量守恒,所以C选项正确,D选项错误。
考点:动量守恒的条件 机械能守恒的条件,
本题难度:一般
2、选择题 如图所示,一枚手榴弹开始时在空中竖直向下落,到某位置时爆炸成a、b两块同时落地,其中a落地时飞行的水平距离OA大于b落地时飞行的水平距离OB,下列说法正确的是( )
A.爆炸瞬间a、b两块的速度大小相等
B.爆炸瞬间a、b两块的速度变化量大小相等
C.a、b两块落地时的速度大小相等
D.爆炸瞬间a、b两块的动量变化大小相等
参考答案:由题意知爆炸后a、b的竖直分速度大小相等,即竖直方向两个的动量没有发生变化.由a的水平位移大小大于b的水平位移大小,可知a获得的水平分速度大小大于b获得的水平分速度大小,所以A、B、C均错;但水平方向动量守恒,所以a、b的动量变化必大小等,D正确;
故选:D.
本题解析:
本题难度:一般
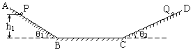
3、简答题 如图所示,倾角
=37°的光滑斜面 AB 与倾角
=30°的光滑斜面 DC,通过长度为 2.2m 的光滑水平面 BC 连接(连接处有一段很短的光滑圆弧),将质量
="0.5kg" 的小球 P 从 AB 斜面上距地高度
="1.8m" 处自由释放,同时将质量为
的另一小球Q从DC面上某点释放.要使小球同时进入水平面,且不断地在水平面上同一点发生相向碰撞(机械能无损失).求:
(1)小球 Q 自由释放时,距地高度
是多少?
(2)PQ 两球在 BC 上碰撞的位置在何处?
(3)小球 Q 的质量
是多少?
参考答案:
(1)1.25m(2)距B点1.2m处(3)0.6kg
本题解析:

本题难度:一般
4、简答题 
(1)在被第二颗子弹击中前,木块沿斜面向上运动离A点的最大距离?
(2)木块在斜面上最多能被多少颗子弹击中?
(3)在木块从C点开始运动到最终离开斜面的过程中,子弹、木块和斜面一系统所产生的内能是多少?
参考答案:(1) 12.5m (2) 3颗(3)10434J
本题解析:(1)木块下滑的加速度为:

第一颗子弹射入前木块的速度:
木块向下运动的距离:
第一颗子弹射入时动量守恒,射入后木块的速度v2,?
解得:
木块向上运动的加速度大小:
木块向上运动的最大距离:
只需1秒,木块的速度就为零,第二颗子弹还未射出,所以离A点最大距离:
(2)由于每颗子弹击中产生的效果相同,上升4米,下降0.5米,一个周期上升3.5米,故只能被3颗子弹击中
(3)物块在斜面上运动的v-t的图像如右图
物块从C到离开的路程:
摩擦力做功产生的热量:
子弹打入时产生的热量:
产生的总热量:
本题难度:一般
5、简答题
(1)铅弹打中木块后二者的速度V(4分)
(2)铅弹打中木块前的速度V0(4分)
(3)铅弹的温度升高多少度?(4分)
参考答案:(1)V=1m/s(2)200m/s(3)
本题解析:(1)铅弹与木块作平抛运动的速度为V,
,V="1m/s" ?4分
(2)铅弹打中木块,动量守恒:
,V0="200m/s?" 4分
(3)子弹打中木块损失的机械能为:
铅弹吸收的热量
,
?4分
本题难度:一般