高中物理知识点总结《机车启动》高频试题预测(2017年最新版)(四)

时间:2017-09-23 23:27:19

微信搜索关注"91考试网"公众号,领30元,获取事业编教师公务员等考试资料40G

1、选择题  如图所示,一根不可伸长的轻绳两端各系一个小球a和b,跨在两根固定在同一高度的光滑水平细杆上,质量为3m的a球置于地面上,质量为m的b球从水平位置静止释放。当a球对地面压力刚好为零时,b球摆过的角度为θ。下列结论正确的是

[? ]
A.θ=90°
B.θ=45°
C.b球摆动到最低点的过程中,重力对小球做功的功率先增大后减小
D.b球摆动到最低点的过程中,重力对小球做功的功率一直增大


参考答案:AC


本题解析:


本题难度:一般



2、选择题  放在水平地面上的物体受到水平拉力的作用,在0~6s内其速度与时间图象和拉力的功率与时间图象如图所示,则物体的质量为(取g=10m/s2)

[? ]
A.
B.
C.
D.


参考答案:D


本题解析:


本题难度:一般



3、填空题  一滑冰运动员在水平冰面上推着冰车从静止开始运动,一段时间后松开冰车,让其自由滑行,冰车的速度v随时间t变化的规律如图1所示,小孩对冰车的推力为F,冰车受到的滑动摩擦力为f,则在前10s内F做功的平均功率与冰车克服f做功的平均功率之比为______;F在前10s内做功的平均功率与冰车在后60s内克服f做功的平均功率之比为______.


参考答案:由图象可知:在前10s物体做匀加速运动,则:F-fm=810=0.8m/s2①
后60s做匀减速运动,-fm=-860=-215m/s2②
由①②得:F=7f
前10s内F做功的平均功率为.P1=F.v,克服f做功的平均功率为:.P2=f.v
所以.P1.P2=71
冰车在后60s内克服f做功的平均功率为:.P3=f.v
故答案为:7:1;7:1.


本题解析:


本题难度:一般



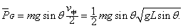
4、计算题   ;如图所示,质量为m的物体,沿着长为L,倾角为θ的光滑斜面,自顶端由静止滑到处,重力做功的瞬时功率为多少?在这一过程中,重力做功的平均功率为多少?物体滑到底端时,重力做功的瞬时功率为多少?



参考答案:解:
由牛顿第二定律和运动学公式可得物体滑到中点时的速度:
v中=
这时重力做功的瞬时功率:
在这一过程中,重力做功的平均功率:

物体滑到底端时,物体的速度:

滑到底端时重力的瞬时功率:


本题解析:


本题难度:一般



5、选择题  质量为m的物体静止在光滑水平面上,从t=0时刻开始受到水平力的作用。力的大小F与时间t的关系如图所示,力的方向保持不变,则
①3t0时刻的瞬时功率为
②3t0时刻的瞬时功率为
③在t=0到3t0这段时间内,水平力的平均功率为
④在t=0到3t0这段时间内,水平力的平均功率为

[? ]
A.①③?
B.①④?
C.②③?
D.②④


参考答案:D


本题解析:


本题难度:一般




首页 上页 3 4 5 下页 尾页 4/10/10
微信搜索关注"91考试网"公众号,领30元,获取公务员事业编教师考试资料40G
【省市县地区导航】【考试题库导航】
 ★ 高考省级导航 ★ 
全国 A安徽 B北京 C重庆 F福建 G广东 广西 甘肃 贵州 H河南 河北 湖南 湖北 黑龙江 海南 J江苏 江西 吉林 L辽宁 N内蒙古 宁夏 Q青海 S山东 山西 陕西 四川 上海 T天津 X新疆 西藏 Y云南 Z浙江
 ★ 高考信息汇总 ★ 
 ★ 高考历年真题 ★ 
 ★ 高考历年真题 ★ 
 ★ 高考题库 ★ 
 ★ 高考题库 ★ 

电脑版  |  手机版  |  返回顶部