时间:2017-09-23 22:50:34
1、填空题 一质子(11H)及一α粒子(24He),同时垂直射入同一匀强磁场中.
(1)若两者以相同速度进入磁场,则旋转半径之比为______;
(2)若两者由静止经同一电势差加速的,则旋转半径之比为______.
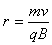
参考答案:(1)根据牛顿第二定律得
? qvB=mv2r? r=mvqB①
? 质子与α粒子比荷之比为2:1,则半径之比为1:2
? (2)根据动能定理,得
? qU=12mv2,得到v=
本题解析:
本题难度:一般
2、简答题 如图所示,直角坐标系xoy位于竖直平面内,在?
| 3 |

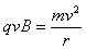
参考答案:(1)带电粒子在磁场中做匀速圆周运动,洛伦兹力提供向心力,根据牛顿第二定律有qvB=mv2r
代入数据得:r=2m
轨迹如图1交y轴于C点,过P点作v的垂线交y轴于O1点,
由几何关系得O1为粒子运动轨迹的圆心,且圆心角为60°.
在磁场中运动时间t=T6=16×2πmqB
代入数据得:t=5.23×10-5s
(2)带电粒子离开磁场垂直进入电场后做类平抛运动
设带电粒子离开电场时的速度偏向角为θ,如图1,
则:tanθ=vyv=Eqdmv2=4×3.2×10-19×26.4×10-27×16×108=14
设Q点的横坐标为x
则:tanθ=1x-1=14
故x=5m.
(3)电场左边界的横坐标为x′.
当0<x′<3m时,如图2,设粒子离开电场时的速度偏向角为θ′,
则:tanθ′=E′qdmv2
又:tanθ′=14-x′
由上两式得:E′=164-x′
当3m≤x"≤5m时,如图3,有y=12at2=E′q(5-x′)22mv2将y=1m及各数据代入上式得:E′=64(5-x′)2 
答:(1)带电粒子在磁场中运动时间为t=5.23×10-5s.
(2)当电场左边界与y轴重合时Q点的横坐标x=5m.
(3)电场左边界的横坐标x′与电场强度的大小E′的函数关系为E′=64(5-x′)2.
本题解析:
本题难度:一般
3、填空题 如图所示,离子源从小孔发射出带电荷量为e的正离子(初速度可忽略),在加速电压U的作用下,沿MO方向进入匀强磁场中,磁场限制在以O点为圆心,半径为r的区域内,磁感应强度为B,方向垂直纸面向外,离子从N点射出,已知∠MON=120°,则正离子质量为_____________,正离子通过磁场所需时间为_____________。
参考答案:
本题解析:
本题难度:一般
4、选择题 如图所示,一矩形区域abcd内充满磁感应强度为B、方向垂直纸面向里的匀强磁场(ab、dc边足够长),现从矩形区域ad边的中点O处,垂直磁场射入一速度方向与ad边夹角为30°、大小为v0的带正电粒子,已知粒子质量为m,电荷量为q,ad边长为l,重力影响不计,要使粒子从ab边上射出磁场,则( )
A.只要粒子的速度小于
| Bql 3m |
| Bql 3m |
| Bql m |
| Bql 3m |
| Bql m |

参考答案:(1)粒子带正电,粒子运动的轨迹如图所示,当粒子的速度不大于与R1相对应的速度v1时,粒子将恰好不从dc边射出.
由几何关系可得:R1=L…①
由洛仑兹力和向心力公式可得:qv1B=mv21R1… ②
当粒子的速度小于与R2相对应的速度v2时,粒子将从ad边射出.
由几何关系可得:R2+R2sin30°=12L…③
由③式解得:R2=13L…④
由洛仑兹力和向心力公式可得:qv2B=mv22R2…⑤
将①④式分别代入②⑤式可解得:v1=qBLm;v2=qBL3m…⑥
所以v0的取值范围是:qBL3m<v<qBLm…⑦
故选:D
本题解析:
本题难度:一般
5、计算题 一个负离子,质量为m,电荷量大小为q,以速率v垂直于屏MN经过小孔O射入存在着匀强磁场的真空室中,如图所示,磁感强度B的方向与离子的运动方向垂直,并垂直于纸面向里。
(1)求离子进入磁场后到达屏MN上时的位置与O点的距离。
(2)如果离子进入磁场后经过时间t到达位置P,试证明:直线OP与离子入射方向之间的夹角θ(弧度)跟t的关系是

参考答案:解:(1)
,
到达屏MN上时的位置与O点的距离
(2)轨迹所对圆心角为2θ,周期
?
,
本题解析:
本题难度:困难