时间:2017-09-23 22:21:12
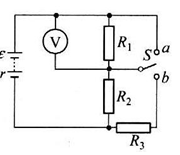
1、计算题 如图所示电路中,电源的电动势ε=16V,电阻R1=R2=R3=10Ω,电源内阻r=1Ω.求下述各种情况中电压表的示数(电压表的内阻非常大,流过电压表的电流可忽略不计).
(1)电键S接存a点.(2)电键S断开.(3)电键S接在b点.
参考答案:(1)外电路只有R2,R1被短路,电压表的读数是0。(2′)
(2)外电路是R1和R2串联,
?(1′)?
(1′)

(2′)
(3)外电路是R2和R3并联,然后与R1串联,
?
(1′)
(1′)
(2′)
本题解析:略
本题难度:一般
2、选择题 图为某种电子秤工作原理的示意图,被称物体的质量可按照一定的换算关系通过电流表的示数获得.秤盘中放入物体后,连杆P将从a点向下滑动,最终停在a、b间的某一位置.关于该电子秤,下列说法正确的是( )
A.物体质量越小,电流表的示数越大
B.物体质量越大,电流表的示数越大
C.物体质量越大,电路中的总电阻越大
D.物体质量越小,电路中的总电阻越大
参考答案:A、物体质量越小,Pb间电阻越大,由闭合电路的欧姆定律,电路中的电流越小,电流表的示数越小,故A错误.
B、物体质量越大,Pb间电阻越小,由闭合电路的欧姆定律,电路中的电流越大,电流表的示数越大,故B正确.
C、物体质量越大,连接杆P下滑越大,Pb间电阻越小,电路中的总电阻越小,故C错误.
D、物体质量越小,连接杆P下滑越小,Pb间电阻越大,电路中的总电阻越大,故D正确.
故选BD.
本题解析:
本题难度:简单
3、选择题 在如图所示的电路中,电源的内阻不能忽略.已知定值电阻R1=10Ω,R2=8Ω.当单刀双掷开关S置于位置1时,电压表读数为2V.则当S置于位置2时,电压表读数的可能值为( )
A.2.2V
B.1.3V
C.1.9V
D.1.6V
参考答案:由闭合电路欧姆定律可知:
当开关置1时,U=ER1+rR1=10E10?+r=2V;
当开关置2时,U′=ER2+rR2=8E8+r;
将两式相比可得:
2U′=5(8+r)4(10+r)=40+5r40+4r
故U′=2×40+4r40+5r=2-2r40+5r;
因0<2r40+5r<25,故1.6<U′<2.0;
故只有1.9V符合题意
故选C.
本题解析:
本题难度:简单
4、选择题 调整如图所示电路的可变电阻R的阻值,使电压表V的示数增大△U,在这个过程中( )
A.通过R1的电流增加,增加量一定等于△U/R1.?
B.R2两端的电压减小,减少量一定等于△U.?
C.通过R2的电流减小,但减少量一定小于△U/R2.?
D.路端电压增加,增加量一定等于△U
参考答案:A、R1是定值电阻,电压表V的示数增大△U的过程中,通过R1的电流增加,增加量△I=△UR1.故A正确.
B、电压表V的示数增大,变阻器有效电阻增大,外电路总电阻增大,干路电流减小,R2两端电压减小,路端电压增大,则R2两端电压减少量一定小于△U.故B错误.
C、由欧姆定律得到:通过R2的电流但减少量一定小于△UR2.故C正确.
D、电压表示数增加,R2电压减小,路端电压增加量一定小于△U.故D错误.
故选AC.
本题解析:
本题难度:简单
5、填空题 如图所示,已知E=6V,r=4Ω,R1=2Ω,R2的变化范围是0~10Ω.电源的最大输出功率______W,R1上消耗的最大功率______W.
参考答案:根据数学知识分析得知,当外电阻等于电源的内阻,即R1+R2=r时,电源的输出功率最大.电源的最大输出功率为Pm=(E2r)2r=E24r=624×4W=2.25W.
当R2=0时,电流中电流最大,R1消耗的功率最大,R1上消耗的最大功率为P1m=(ER1+r)2R1=(62+4)2×2W=2W
故答案为:2.25,2
本题解析:
本题难度:一般