高中物理知识点复习《弹力》考点强化练习(2017年押题版)(三)

时间:2017-08-25 12:32:20

微信搜索关注"91考试网"公众号,领30元,获取事业编教师公务员等考试资料40G

1、选择题  Sl和S2表示劲度系数分别为kl和k2的两根弹簧,k1>k2;a和b表示质量分别为ma和mb的两个小物块,ma>mb.将弹簧与物块按图示方式悬挂起来。现要求两根弹簧的总长度最大,则应使(?)

A.S1在上,a在上
B.S1在上,b在上
C.S2在上,a在上
D.S2在上,b在上


参考答案:D


本题解析:先对下面的物体受力分析,受重力和下面的弹簧的拉力而平衡,即下面的弹簧的弹力等于下面弹簧的拉力,有?①
再对两个物体的整体受力分析,受到总重力和上面弹簧的拉力,根据共点力平衡条件,有?②
弹簧总长度为:L=?=La+Lb++
要使总长度最大,上面弹簧要取最小值k2,下面物体质量要取最大值ma,下面弹簧k要取最大值k1,故S2在上,b在上;
故选D.


本题难度:一般



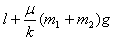
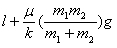
2、选择题  如图所示,在一粗糙水平面上有两个质量分别为m1和m2的木块1和2,中间用一原长为l、劲度系数为k的轻弹簧连结起来,木块与地面间的动摩擦因数为μ,现用一水平力向右拉木块2,当两木块一起匀速运动时两木块之间的距离是

[? ]
A.
B.
C.
D.


参考答案:A


本题解析:


本题难度:一般



3、实验题  竖直悬挂的弹簧下端,挂一重为4 N的物体时弹簧长度为12 cm;挂重为6 N的物体时弹簧长度为13 cm,则弹簧原长为____________cm,劲度系数为_______________N/m.


参考答案:10? 200


本题解析:弹簧上悬挂物体时弹簧要伸长,由胡克定律得知:受到的拉力与弹簧伸长量成正比,即F=kx,其中k为劲度系数,x为弹簧伸长量,x在数值上等于伸长后总长度减去原长L0,即x=L-L0.改变悬挂重物的重力,伸长量变化,这样可以列出两个方程,通过方程组可求出弹簧原长和劲度系数.
设弹簧的原长为L0,劲度系数为k,设挂G1="4" N的重物时弹簧的长度为L1,挂G2="6" N的重物时弹簧的长度为L2,则L1="12" cm,L2="13" cm,由胡克定律得:
G1=k(L1-L0)? G2=k(L2-L0)
带入数据解得:L0="10" cm,k="200" N/m.
即弹簧原长为10 cm,劲度系数为200 N/m.


本题难度:简单



4、填空题  如图所示,把一个弹簧测力计的一端固定在墙上,用另一个弹簧测力计水平向左拉金属板,金属板向左运动,此时两个测力计的示数稳定(图中已把弹簧测力计的示数放大画出),则物块P与金属板间的滑动摩擦力的大小是______N.(精确到0.01N)若用弹簧测力计测得物块P重13N,根据表中给出的动摩擦因数,可推算出物块P的材料为______.

材料动摩擦因数
金属-金属
0.10
橡胶-金属
0.50
木头-金属
0.20
皮革-金属
0.30
91考试网


参考答案:当弹簧秤读数稳定时,物体P处于平衡状态,此时拉力等于摩擦力大小,故有:F=f=2.60N,
由f=FNμ,FN=mg=13N,
解得:μ=0.2,
由表格可知物块P的材料为木头.
故答案为:2.60,木头.


本题解析:


本题难度:一般



5、实验题  物理小组在一次探究活动中测量滑块与木板之间的动摩擦因数.实验装置如右图所示.一表面粗糙的木板固定在水平桌面上,一端装有定滑轮;木板上有一滑块,其一端与电磁打点计时器的纸带相连,另一端通过跨过定滑轮的细线与托盘连接.打点计时器使用的交流电源的频率为50 Hz,开始实验时,在托盘中放入适量砝码,滑块开始做匀加速运动,在纸带上打出一系列小点.

(1)上图给出的是实验中获取的一条纸带的一部分:0、1、2、3、4、5、6、7是计数点,每相邻两计数点间还有4个打点(图中未标出),计数点间的距离如图所示.根据图中数据计算的加速度a=________(保留三位有效数字).
(2)回答下列两个问题:
①为测量动摩擦因数,下列物理量中还应测量的有________.(填入所选物理量前的字母)
A.木块的长度l     
B.木板的质量m1
C.滑块的质量m2
D.托盘和砝码的总质量m3
E.滑块运动的时间t
②测量①中所选定的物理量时需要的实验器材是________________________________________________________________________.
(3)滑块与木板间的动摩擦因数μ=________(用所测物理量的字母表示,重力加速度为g)与真实值相比,测量的动摩擦因数________(填“偏大”或“偏小”).写出支持你的看法的一个论据:________________________________________________________________
________________________________________________________________________.


参考答案:(1)0.495 m/s2~0.497 m/s2 (2)①CD ②托盘天平(带砝码) (3)  偏大 因为纸带和打点计时器之间有摩擦


本题解析:(1)将题干图中每段距离标记为,加速度可由逐差法计算可得:.
(2)为测量动摩擦因数,需计算压力和摩擦力,压力,所以为确定压力需测量滑块质量,而摩擦力满足,又因为,所以,所以为确定摩擦力还需测量托盘和砝码的总质量需用托盘天平测出,还需要的实验器材是托盘天平(带砝码).
(3)由(2)中分析得:,又,故.由于纸带与限位孔及滑轮处阻力的存在,所计算Ff值比真实值偏大.所以μ的测量值偏大.
点评:解决实验问题首先要掌握该实验原理,了解实验的操作步骤和数据处理以及注意事项,同时要熟练应用所学基本规律解决实验问题.


本题难度:一般




首页 上页 2 3 4 下页 尾页 3/10/10
微信搜索关注"91考试网"公众号,领30元,获取公务员事业编教师考试资料40G
【省市县地区导航】【考试题库导航】
 ★ 高考省级导航 ★ 
全国 A安徽 B北京 C重庆 F福建 G广东 广西 甘肃 贵州 H河南 河北 湖南 湖北 黑龙江 海南 J江苏 江西 吉林 L辽宁 N内蒙古 宁夏 Q青海 S山东 山西 陕西 四川 上海 T天津 X新疆 西藏 Y云南 Z浙江
 ★ 高考信息汇总 ★ 
 ★ 高考历年真题 ★ 
 ★ 高考历年真题 ★ 
 ★ 高考题库 ★ 
 ★ 高考题库 ★ 

电脑版  |  手机版  |  返回顶部