时间:2017-08-25 11:37:03
1、计算题 1914年,弗兰克和赫兹在实验中用电子碰撞静止的原子的方法,使原子从基态跃迁到激发态,来证明玻尔提出的原子能级存在的假设,设电子的质量为m,原子质量为m0,基态和激发态的能量差为△E,试求入射电子的最小动能。
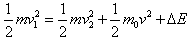
参考答案:解:设电子与原子碰撞前后的速率分别为v1和v2,原子碰撞后的速率为v,假设碰撞是一维正碰
由动量守恒定律有:mv1=mv2+m0v
由能量守恒定律有:
由上面两式得:m0(m0+m)v2-2mm0v1v+2m△E=0
上式是关于v的二次方程,要使v有实数解,该方程的判别式△≥0,即
△=(-2mm0v1)2-4m0(m0+m)×2m△E≥0
所以
可见,入射电子的最小动能为
本题解析:
本题难度:一般
2、选择题 下列说法正确的有 ( ?)
A.α射线与γ射线都是电磁波
B.按照玻尔理论,氢原子辐射出一个光子后,氢原子的电势能减小
C.天然放射现象表明原子核具有复杂的结构
D.一束光照射到某种金属上不能发生光电效应,是因为光的强度太弱
E.比结合能小的原子核结合成或分裂成比结合能大的原子核时一定释放能量
参考答案:BCE
本题解析:
本题难度:一般
3、选择题 氢原子从能级A跃迁到能级B时,吸收频率为γ1的光子,从B能级跃迁到C能级时释放频率为γ2的光子,已知γ1<γ2,则氢原子从能级C跃迁到能级A时将( )
A.释放频率为γ2-γ1的光子
B.释放频率为γ2+γ1的光子
C.吸收频率为γ2+γ1的光子
D.吸收频率为γ2-γ1的光子
参考答案:氢原子从能级A跃迁到能级B吸收频率为γ1的光子,则B能级的能量比A能级的能量大hγ1,从能级B跃迁到能级C,释放光子,则B能级的能量比C能级的能量大hγ2,
已知γ1<γ2,则hγ1<hγ2.即EB-EA<EB-EC,故三个能级的能量由高到低依次是:B、A、C.
可知A与C能级间的能量为hγ2-hγ1.则由A能级跃迁到C能级放出光子,有hγ=hγ2-hγ1,γ=γ2-γ1故A正确,B、C、D错误.
故选:A.
本题解析:
本题难度:一般
4、填空题 氢原子能级如图所示,则要使一个处于基态的氢原子释放出一个电子而变成为氢离子,该氢原子需要吸收的能量至少是______________eV;一群处于n=4能级的氢原子回到n=2的状态过程中,可能辐射______________种不同频率的光子;其中最短波长等于______________nm(已知普朗克常量h=6.63×10-34 J·s)。 
参考答案:13.6,3,488.5
本题解析:
本题难度:一般
5、选择题 (6分)如图为氢原子能级图。下列说法正确的是 。(填正确答案标号。选对1个得3分,选对2个得4分,选对3个得6分。每选错1个扣3分,最低得分为0分)
A.一个处于n=3能级的氢原子,可以吸收一个能量为0.7eV的光子
B.一个处于n=3能级的氢原子,可以吸收一个能量为2eV的光子
C.大量处于n=3能级的氢原子,跃迁到基态的过程中可以释放出3种频率的光子
D.氢原子从高能级向低能级跃迁的过程中释放的光子的能量不可能大于13.6eV
E.用能量为10eV和3.6eV的两种光子同时照射大量氢原子,有可能使处于基态的氢原子电离
参考答案:BCD
本题解析:氢原子在不同能级之间跃迁时,吸收或者放出光子的能量等于能级差,一个处于n=3能级的氢原子若跃迁到n=4的能级吸收光子能量为
,若跃迁到n=5,则需要吸收光子能量
,所以不可能吸收一个能量为0.7eV的光子选项A错。可以吸收一个能量为2eV的光子跃迁到无穷远的轨道,多余的
能量转移为电离后的动能,选项B对。大量处于n=3能级的氢原子,跃迁到基态的过程中可以释放出能量等于
能级差的光子一共有三种,选项C对。氢原子从高能级向低能级跃迁的过程中释放的光子的能量等于能级差,而最高能级为0,最低能级为
,所以释放的光子能量不可能大于
,选项D对。基态的氢原子要发生电离,吸收的光子能量必须大于等于基态和无穷远能级的能级差即
,选项E错。
考点:
本题难度:一般