时间:2017-08-22 02:43:35
1、选择题 远距离输电线路的示意图如图所示,若发电机的输出电压不变,认为升压变压器和降压变压器都是理想的,输电线具有一定电阻,下列判断正确的是( )
A.升压变压器的输出电压总是大于降压变压器的输入电压
B.升压变压器的输出功率总是大于降压变压器的输入功率
C.随着用户用电功率增加,升压变压器初级线圈中的电流变小
D.随着用户用电功率增加,降压变压器初级线圈两端的电压变小
参考答案:ABD
本题解析:
本题难度:简单
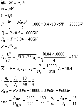
2、计算题 有一条河流,河水流量为0.4m3/s,落差为5m,现利用它来发电,使用的发电机总效率为50%,发电机输出电压为250V,输电线的电阻为4Ω,允许输电线上损耗功率为发电机输出功率的4%,而用户所需要电压为220V,求所用的升压、降压变压器上原、副线圈的匝数比。变压器为理想变压器,输电线路如图所示。(g取10 m/s2)
参考答案:
本题解析:
本题难度:困难
3、简答题 一台发电机的功率是44kW,用电阻为0.2Ω的导线输送到用户,(1)若用220V的电压输电,输电线上的电流多大?输电线发热损失的功率是多少?(2)若用22kV的电压输电,输电线上电流多大?输电线发热损失的功率又是多少?
参考答案:
(1)200A? 8×103W(2)2A?O.8W (
本题解析:
⑴? P="UI" (1分)? 44×103=220×I(1分)? I=200A(1分)
P损=I2R(1分)? P损=8×103W(2分)
⑵? P=U′I′(1分)? 44×103=22000×I′(1分)?
I′="2A" (1分)? P′损= I′2R? (1分)?
P′损="O.8W" (2分)
本题难度:简单
4、简答题 用10kv高压输送电功率为100kw的交流电,在输电线上损失2%的电功率,输电线的总电阻为多少?如改用5kv电压输送100kw的交流电,输电线上损失的电功率为多少千瓦.
参考答案:用10kv高压输送电功率为100kw的交流电,输电电流I1=P1U1=10000010000A=10A,则P损=I2R=2%P,代入数据得,R=20Ω.
? 改用5kv电压输送100kw的交流电,则输电电流I2=P2U2=1000005000A=20A,则损失的功率P损′=I22R=400×20W=8000W.
故输电线上的总电阻为20Ω,改用5kv电压输送100kw的交流电,输电线上损失的电功率为8kW.
本题解析:
本题难度:一般
5、计算题 某发电厂发电机的输出总功率P=100 kW,发电机两端电压U1=250V,向远处送电的输电线的总电阻R=8Ω.要使传输电线上的功率损失不超过输送总功率P的5%,用户得到的电压U4又正好是220V,用如图的电路输电。求
(1)升压变压器原、副线圈的匝数比
(2)降压变压器原、副线圈的匝数比

参考答案:按题意,P损=5%P=0.05×100×103 W=5×103 W.
设输电线路中的电流为I,P损=I2R,
I=
.?输送电压
,
对升压变压器
,
输电线路上损失电压? U损=IR=25×8 V=200 V,
降压变压器原线圈n3两端电压
U3=U2-U损=(4000-200) V=3800 V,
用户在副线圈n4两端得到电压U4=220 V,
所以
.
即升压变压器原、副线圈匝数比为1∶16;降压变压器的匝数比为190:11
本题解析:按题意,P损=5%P=0.05×100×103 W=5×103 W.
设输电线路中的电流为I,P损=I2R,
I=
.?输送电压
,
对升压变压器
,
输电线路上损失电压? U损=IR=25×8 V=200 V,
降压变压器原线圈n3两端电压
U3=U2-U损=(4000-200) V=3800 V,
用户在副线圈n4两端得到电压U4=220 V,
所以
.
即升压变压器原、副线圈匝数比为1∶16;降压变压器的匝数比为190:11
本题难度:简单